2018년 1차 서울시 7급 14번

1.개요
강체 좌굴 문제를 푸는 방법은 여러 가지가 있습니다. 가장 널리 쓰이는 방법은 평형방정식(힘의 평형) 접근이고, 테일러 급수에 익숙한 분이라면 전포텐셜 에너지(총 퍼텐셜 에너지) 방법도 좋은 선택입니다. 그리고 제가 블로그에서 집중적으로 다루는 방법이 가상변위의 법칙입니다.
저는 강체 좌굴 문제를 접근할 때 가상변위의 법칙이 가장 빠르고 효율적이라고 생각합니다. 사람마다 선호는 다를 수 있지만, 평형방정식에 비해 부호(+, −)를 덜 신경 써도 되는 장점이 있고, 전포텐셜 에너지 방법과 비교하면 테일러 급수를 몰라도 에너지 관점으로 깔끔하게 정리할 수 있다는 점에서 더 실용적입니다. 물론 어떤 방법을 쓰더라도 결과는 항상 동일합니다.
다른 문제집이나 강의에서는 가상변위의 법칙을 잘 다루지 않기 때문에, 처음 접하시는 분들은 낯설거나 불편하게 느끼실 수도 있습니다. 하지만 이 방법은 역학의 ‘꼼수 풀이’가 전혀 아니며, 오히려 매우 강력한 정식 접근입니다. 가상변위의 법칙은 강체 좌굴 문제뿐 아니라, 변위법의 근간이 되는 핵심 원리이기도 합니다. 국내 한글 교재에서 이 내용을 체계적으로 다루는 책이 거의 없다는 점은 개인적으로 아쉽습니다.
따라서 제 블로그 풀이를 통해 가상변위의 법칙을 다양한 케이스에 적용하는 감각을 익히시면 좋겠습니다. 이를 위해, 위 문제를 가상변위의 법칙과 힘의 평형방정식 두 가지 방법으로 각각 접근해 보겠습니다.
2.문제풀이
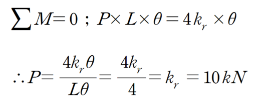
(1) 가상 변위의 법칙

① 압축력 P의 외부 가상일 (WE)

② 회전 스프링의 내부 가상일 (WI)

③ 가상 변위의 법칙 (WE = WI)

따라서 답은 ③번으로 쉽게 산정됩니다.
(2) 평형방정식

대칭축을 기준으로 구조물을 절단하여 해석해 보겠습니다.
이때 가장 중요한 점은, 대칭축을 따라 구조물을 절단하면 회전스프링의 강성이 2배가 되는 효과가 나타난다는 것입니다.
원래는 좌우 양쪽에서 동일한 회전각 θ가 발생하지만,
대칭 조건을 적용하면 구조물의 절반만 고려하게 되어 한쪽의 θ만 남게 됩니다.
따라서 동일한 내부 에너지(또는 동일한 저항 효과)를 유지하기 위해 회전스프링의 강성을 2배로 보정해야 합니다.
또한 구조물이 시계방향으로 회전하므로, 회전스프링은 이에 저항하여 반시계방향의 저항 모멘트를 제공해야 합니다.
이러한 점을 반영하여 자유물체도를 작성하고, 이에 대한 모멘트 평형식을 세우면 다음과 같습니다.

3.마무리하며
가끔 강체 좌굴 문제의 해법을 평형방정식만이 유일한 방법, 혹은 유일한 정석 풀이라고 오해하시는 분들이 있습니다. 이는 분명히 잘못된 사고입니다. 평형방정식은 여러 문제 접근법 중 하나의 방법일 뿐이며, 절대 유일한 해법은 아닙니다.
이번 문제에서 저는 평형방정식을 이용해 한 개의 사분면만을 대상으로 자유물체도를 설정하여 해석을 진행했습니다. 이는 구조를 조금 더 단순화하여 바라보기 위한 선택일 뿐입니다. 반면, 가상변위의 법칙을 사용할 경우 이러한 대칭축에 따른 단순화 자체가 필요하지 않습니다.
평형방정식 풀이에서는, 회전스프링을 대칭축을 따라 절단할 때 주의해야 할 점들이 존재합니다. 회전스프링의 총 회전량은 스프링을 기준으로 좌우에서 발생하는 회전량의 합으로 결정됩니다. 따라서 이는 직렬 연결된 스프링의 개념으로 해석할 수 있으며, 구조물을 반으로 절단하여 해석하는 것은 결과적으로 회전스프링의 강성을 배로 증가시키는 효과를 갖게 됩니다. 또한 구조물이 시계방향으로 회전할 경우, 회전스프링은 이에 저항하여 반시계방향의 회전(저항 모멘트)을 제공해야 한다는 점에도 주의가 필요합니다.
반면, 가상변위의 법칙은 이러한 사항들을 전혀 고려할 필요가 없습니다. 대칭축, 스프링 강성의 보정, 회전 방향에 따른 부호 판단 등에서 자유롭기 때문에, 논리적으로 훨씬 간결하고 실수의 여지가 적습니다.
이러한 이유로 저는 강체 좌굴 문제가 출제될 경우 가상변위의 법칙을 가장 선호하며, 이를 가장 강력하고 효율적이며 실수의 리스크를 최소화할 수 있는 풀이 방법이라고 생각합니다. 여러분들도 제 포스팅을 통해 다양한 시각을 익히고, 시험장에서 자신에게 가장 효율적인 전략을 선택할 수 있기를 바랍니다.
이제 강체 좌굴의 모든 유형에 대해 충분히 준비가 되었다고 생각하시는 분들은,
다음 5급 공채 2014년도 재료역학 4번 문제에 도전해 보시기 바랍니다.
원래 이 문제는 전포텐셜 에너지를 직접 구하는 방식으로 출제되었지만, 여기서는 전포텐셜 에너지를 계산하지 않고,
평형방정식 또는 가상변위의 법칙을 이용하여 좌굴 하중 (Fcr)을 산정해 보시기 바랍니다.
처음에는 어렵게 느껴질 수 있지만,
제가 지금까지 설명해 온 접근 방식대로 차분히 따라오신다면 충분히 해결할 수 있는 문제입니다.
풀이 방법은 달라도, 도달해야 할 해답은 동일합니다.
이 문제를 통해 강체 좌굴의 이해도를 높힐 수 있으면 더욱 좋을 것 같습니다.
