2014년 5급 공채 재료역학 4번 문제 (기술고시 문제로 확장)

1.개요
7급·9급 문제는 아니지만, 5급 공채에서 기출된 좌굴 문제를 한 번 다뤄보려고 합니다.
저는 이전 강체 좌굴 관련 포스팅들에서 반복적으로 가상변위의 법칙(virtual work)을 적용해 좌굴하중을 산정하는 관점을 소개해왔습니다. 또한 2018년 서울시 7급에서 사각형 형태의 강체 구조물 좌굴하중을 다루면서, 조금 더 확장된 사례로 2014년에 출제된 육각형구조물에도 한 번 도전해보시라고 말씀드린 적이 있습니다.
https://oreostructure.tistory.com/142
2018년 1차 서울시 7급 14번
1.개요강체 좌굴 문제를 푸는 방법은 여러 가지가 있습니다. 가장 널리 쓰이는 방법은 평형방정식(힘의 평형) 접근이고, 테일러 급수에 익숙한 분이라면 전포텐셜 에너지(총 퍼텐셜 에너지) 방법
oreostructure.com
물론 5급 공채에서는 전포텐셜 에너지(총 퍼텐셜 에너지) 접근이 자주 등장합니다. 하지만 이것은 좌굴을 푸는 여러 방법 중 하나일 뿐이며, 평형방정식·가상변위의 법칙과 같은 “동일한 뿌리”의 다른 표현이라고 보셔도 됩니다. 그래서 저는 오히려, 위 문제를 가상변위의 법칙으로 좌굴하중을 산정해보는 것을 제안드렸습니다.
몇 분이나 실제로 도전하셨을지는 모르겠습니다. 다만 도전 자체가 의미가 있습니다. 좌굴은 결국 “경계조건 + 불안정 조건 + kinematic 관계”를 얼마나 정확히 잡느냐의 싸움이고, 그 과정에서 개념의 빈틈이 어디인지가 선명하게 드러나기 때문입니다.
도전하신 분들 중에는 “답을 맞춰보고 싶다”는 분들도 계실 것이고, 도전하지 않으셨더라도 “어떻게 확장되는지”가 궁금하셨을 것이라 생각합니다.
여기서 중요한 포인트가 하나 있습니다.
5급 공채 문제는 출제자 입장에서 쓸데없이 계산만 과하게 복잡하게 만들지 않습니다.
대신 출제자가 심사숙고하여 수험생이 “한 번쯤 생각해볼 만한 장치”를 문제 속에 숨겨놓는 경우가 많습니다.
그런데 많은 수험생들이 강력한 공학용 계산기에 기대어,
개념적으로는 단순한 문제를 불필요하게 복잡한 계산 루트로 밀어붙이곤 합니다.
그래서 7급 수험생 분들 중에서도 응용역학의 개념을 차근차근 쌓아가며 더 높은 난이도에 도전하고 계신 분들은, 계산기가 있으시다면 5급 역학 문제도 충분히 도전해볼 가치가 있습니다. 손으로는 무리가 있어도, 대부분은 7·9급에서 보았던 출제자의 인사이트가 “조금 더 응용된 형태”로 등장하는 경우가 많기 때문입니다. 구조기술사 문제들도 비슷한 면이 있습니다.
다만 한 가지는 꼭 지키시길 권합니다.
계산기 테크닉에 의존하지 마시고, 7·9급을 공부하며 익힌 “개념 적용”을 그대로 가져가되, 연산만 계산기로 보조하는 방식으로 접근해보시기 바랍니다.
이제부터는 가상변위의 법칙으로 2014년 육각형 강체 구조물의 좌굴하중을 산정해보겠습니다.
2.문제풀이
(1) 방법 1 : 가상변위의 법칙을 통한 좌굴하중 산정

위의 그림에서 표시한 축에 대해 구조물과 하중이 모두 대칭입니다.
이 중, 좌측 상단의 부분을 떼어네어 변형도 및 자유 물체도를 그려보겠습니다.
또 이에 따른 가상변위의 법칙을 통해 WE (외부일) WI(내부일)을 산정하면 다음과 같습니다.

매우 간편하고 빠르게 좌굴 하중이 3k/a로 산정됩니다.
참고로 경사재가 압축력 F를 받으며 생긴 Faθ^2의 항은 압축력에 대한 P-δ 효과에 따른 가상변위에너지로 설명할 수 있습니다.
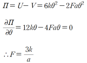
(2) 방법 2 : 전포텐셜을 활용한 좌굴하중 산정 (5급 문제에 대한 풀이)
전포텐셜 방법을 활용하기 위해서는 삼각함수의 테일러전개에 대한 배경지식이 필요합니다.
5급이나 구조기술사를 준비하시는 분들은 알아야 하는 개념이지만,
7,9급 시험을 준비하시는 분들께서는 풀이의 Flow 정도만 참고하시면 됩니다.

① 여섯개의 회전스프링에 저장되는 변형 에너지 (U) 산정

② 여섯개의 힘에 의한 일 (W)산정

③ 총 포텐셜 에너지 (U-W)를 최소화 하는 좌굴하중 (Fcr) 산정

3. 마무리하며
두 가지 서로 다른 방법으로 풀이를 소개했습니다. 사실 이번 포스팅의 핵심은, 좌굴하중을 산정할 때 가상변위의 법칙이 얼마나 강력한 도구인지를 보여드리는 데 있습니다.
다만 원문 문제가 워낙 간단해서 풀이 과정이 짧게 끝나 버렸고, 그 결과 포스팅 내용이 다소 빈약해 보일 수 있겠다는 생각이 들었습니다. 그래서 내친김에 5급 공채 문제에서 요구하는 문항들까지 확장하여 전부 풀어 정리했습니다.
이전에 업로드했던 강체 구조물 좌굴하중 산정 방법 관련 포스팅도 함께 참고하시고, 계산식이 쉬운 단계부터 어려운 단계까지 차근차근 따라오시면 훨씬 더 유익하게 학습하실 수 있을 것입니다.
끝으로 내일(2월 11일)에는 가상변위의 법칙을 휨부재에 적용하여, 각종 처짐 문제와 부정정 구조물에 적용하는 방식을 다루는 강의를 진행할 예정입니다. 좌굴 문제에서 강력했던 것처럼, 휨부재에서도 가상변위의 법칙은 매우 강력한 도구입니다.
하지만 실제로는 많은 분들이 “어디에, 어떻게 적용해야 하는지” 자체를 어려워하시고, 시중 풀이에서도 이 부분을 제대로 다루는 경우가 거의 없습니다. 시간 되시는 구독자분들께서는 내일 강의에 참여하시면 분명히 큰 도움이 되실 거라고 생각합니다.
https://oreostructure.tistory.com/140
[무료강의] 처짐각법 강의, 휨부재의 변위법 접근
안녕하세요. 오레오구조입니다.이전에 축부재를 주제로 한 변위법 특강을 진행한 바 있으며, 당시 참여해 주신 분들로부터 강의 내용과 구성에 대해 만족도가 높았다는 피드백을 받았습니다.
oreostructure.com