트러스 영향선 : 뮐러 브레스라우의 적용 (2007년 7급 응용역학 4번)

1. 개요
(1) 트러스 영향선, 뮐러 브레스라우로 “직관”만 믿으면 틀립니다
2026년 9급 응용역학개론 16번 문제는 트러스 영향선 문제였습니다.
해당 문제를 풀이하면서 “뮐러 브레스라우의 법칙으로도 답이 바로 나온다” 라고 설명드린 바 있습니다.
이후 토요일에 진행하였던 7급 모의고사반에서 요청이 있어
트러스에서의 뮐러 브레스라우 적용을 별도로 다루게 되었고,
- 가상변위의 법칙 원리
- 트러스에서의 적용 방법
을 위 그림의 2007년 7급 응용역학 4번 문제를 통해 설명드렸습니다.
(2) 왜 저는 “단면법 연습”을 강조하는가
저는 항상 트러스 영향선 문제를 공부할 때 단면법으로 연습할 것을 권합니다.
그 이유는 명확합니다.
- 실제 시험에서는
→ 단면법 문제는 자주 출제됩니다.
→ 트러스의 영향선 문제는 상대적으로 적습니다.
즉,
단면법을 연습하면 “기본 + 영향선”을 동시에 잡는 훈련이 됩니다.
또한,
Kinematic 관계에 익숙하지 않으면
아예 다른 보기를 고르는 경우가 발생합니다.
(3) “뮐러 브레스라우로 대략 보면 된다?” → 반은 맞고 반은 틀림
학생들이 이야기한 시중의 해설에서 이렇게 배웠다고 합니다.
“트러스도 뮐러 브레스라우로 대략적인 형상을 보면 된다”
이 말은 절반만 맞습니다.
왜냐하면 실제로 가르쳐보면,
- 자유도(DOF) 개념이 부족하고
- Kinematic 관계를 이해하지 못한 상태에서
감으로 형상을 판단하는 경우가 매우 많기 때문입니다.
그 결과,
변위 자체를 잘못 잡는 오류
가 빈번하게 발생합니다.
(4) 실제 수업에서 발생한 문제
2007년 7급 4번 문제를 기준으로 다음 질문을 던졌습니다.
“CD 부재가 1만큼 변형될 때 AB 부재의 형상은 어떻게 되는가?”
이 질문에 대해
- 의견이 하나로 모이지 않고 서로 다른 답이 다수 등장했습니다
이건 단순 실수가 아니라
“감에 의존한 접근”의 한계입니다.
(5) 왜 이런 문제가 생기는가
많은 분들이
- 보(Beam)의 뮐러 브레스라우는 익숙하지만
- 트러스는 경험이 부족합니다
그래서
- “어디서부터 1의 변형을 줄지”
- “어떤 자유도를 해방해야 하는지”
이 기본적인 시작점부터 흔들립니다
(6) 잘못된 학습 방법: “형상 암기”
수업 중 어떤 분은 이렇게 말씀하셨습니다.
“트러스 부재별 형상을 암기하고 있습니다”
하지만 이 방법은 매우 위험합니다.
- 트러스 형식이 조금만 바뀌어도 암기한 내용은 바로 무너집니다.
결국 시험장에서 적용이 위험합니다.
(7) 핵심 정리
트러스에서 뮐러 브레스라우를 제대로 쓰려면
- 가상변위의 원리 이해
- 자유도(DOF) 파악
- Kinematic 관계 설정
이 3가지가 반드시 필요합니다.
(8) 앞으로의 내용
이제부터
2007년 7급 응용역학 4번 문제를 예시로
- 트러스에서 뮐러 브레스라우를
- 어떻게 “정확하게” 적용하는지
수업에서 진행했던 방식 그대로 설명드리겠습니다
2. 문제풀이

(1) 강체영역(청색 블록) 설정
해당 문제에서 청색으로 표시된 영역은 다음과 같은 방식으로 설정할 수 있습니다.
CD 부재의 양 절점과 하현재 절점을 각각 연결한다
즉,
- CD의 상단 절점(D)
- CD의 하단 절점(C)
에서 출발하여 하현재의 각 절점으로 선을 연결하면 됩니다.
(2) 형상 해석
이렇게 연결하면 자연스럽게 두 가지 형태가 나타납니다.
① 좌측 영역 → 직각삼각형 형상
좌측(A ~ D 구간)은
선들이 서로 닫히면서
하나의 직각삼각형 형태의 강체
를 형성하게 됩니다.
따라서 이 영역은 변형 없이 하나의 강체처럼 거동합니다.
② 우측 영역 → 일직선 강체
반면, C를 기준으로 우측 구간은
- 하현재와 연결된 절점들이
- 동일 선상에 놓이게 되어
일직선 형태의 강체
가 형성됩니다.
이 부분 역시 변형 없이 통째로 움직이는 강체로 해석할 수 있습니다.
③ 핵심 포인트
이 과정에서 중요한 것은
“부재를 보는 것이 아니라, 절점 간 연결로 강체를 파악하는 것”
입니다.

이렇게 강체 블록으로 묶어서 보면 kinematic 관계가 훨씬 명확해집니다.
(3) 가상 변위의 법칙 적용 (뮐러 브레스라우)

위의 그림과 같이 CD 부재를 잘라 한쪽 당 0.5 만큼의 변위가 발생하도록 합니다.
그렇게 해야 다음과 같은 가상변위의 법칙 공식이 성립합니다.
P와 δ를 하현재에 작용하는 하중과 이로 인한 변위로 설정하였을 때,

이때 우리는 부재 CD의 내부 변형에 의해 절점 E와 C가 어떻게 변형되는지 알아봐야 합니다.
하지만 이는 어렵기 때문에 절점 E, C의 Global 자유도의 이동량에 따른 부재 CD의 Local 자유도의 이동량이 어떻게 되는지 살펴보면 한결 편해집니다.
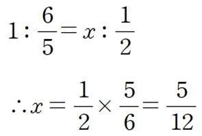
① Global 자유도 E에서 수직 변형 1이 발생하였을 때, Local 자유도 CD의 변형

따라서 E에서 변형 1은 부재 CD에 6/5 만큼의 변형을 가져다 줍니다.
우리는 부재 CD에서 1/2 만큼의 변형을 원하기 때문에,
부재 CD에서 1/2의 변형을 만들어내는 E에서의 변형은 비례식으로 쉽게 산정 가능합니다.

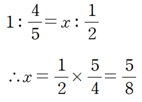
② Global 자유도 C에서 수직 변형 1이 발생하였을 때, Local 자유도 CD의 변형

따라서 C에서 변형 1은 부재 CD에 4/5 만큼의 변형을 가져다 줍니다.
우리는 부재 CD에서 1/2 만큼의 변형을 원하기 때문에,
부재 CD에서 1/2의 변형을 만들어내는 C에서의 변형은 비례식으로 쉽게 산정 가능합니다.

③ 영향선의 작도
부재 CD에서 각각 local 변형 0.5를 발생시키는 Global 변형은 각각 아래로 5/12와 위로 5/8이기 때문에
이를 활용하여 영향선을 작도할 수 있습니다.

따라서 문제에서 요구하는 80kN의 이동하중에 따른 부재 CD의 최대 부재력은 80× 5/8 = 50 kN 이 됩니다.
이는 이전에 포스팅한 결과와 일치합니다.
https://oreostructure.tistory.com/88
2007년 7급 국가직 14번 문제 (트러스 영향선 유형)
1. 개요이번 트러스 문제는 문항에 적힌 “집중하중이 이동할 때”라는 표현만 보아도 알 수 있듯이,전형적인 트러스 영향선(Influence Line) 문제입니다.트러스 영향선은 처음 마주했을 때 부담스
oreostructure.com
3. 마무리하며
(1) Kinematic 관계가 중요한 이유
저는 강의를 시작하기 전 항상 다음과 같이 말씀드립니다.
Kinematic 관계에 대한 이해는
7급, 9급 문제를 빠르고 정확하게 푸는 데 매우 중요한 요소입니다.
이와 관련하여 무료 강의를 통해
단순한 공식 암기가 아닌,
“문제를 바라보는 새로운 관점”
을 전달해드린 바 있습니다.
https://oreostructure.tistory.com/167
[무료강의] 가상변위의 법칙
안녕하세요. 오레오구조입니다.이전 시간에는 축부재에 대한 강의을 진행하였습니다.문제를 풀기위한 스킬과 이를 뒷받힘 하는 이론을 같이 다뤄보았습니다.들으시는 분들에게 낯선 개념도 이
oreostructure.com
(2) 어렵게 접근할 필요 없습니다
많은 분들이 변위 관계를 어렵게 생각하시지만,
기본 원리만 이해하면
변위법으로 문제를 빠르고 정확하게 해결할 수 있습니다.
이 차이가 결국
- 문제를 오래 고민하는 사람과
- 바로 풀어내는 사람의 차이로 이어집니다.
(3) 왜 새로운 관점이 필요한가
대부분의 수험생들은
“남들이 쓰는 방식”으로 문제를 풉니다
하지만 이 방식만으로는
- 영향선
- 부정정 구조물
- 합성구조물
과 같은 문제에서 속도와 정확도 모두 한계가 발생합니다
(4) 제가 강의에서 하는 것
현재 저는 주 1회 7급 하프 모의고사 Class를 운영하고 있으며,
단순히 문제 풀이가 아니라
- 새로운 관점 적용
- 풀이 전략 체화
- 고난이도 문제 대응 능력 강화
에 초점을 맞추고 있습니다.
많이 푸는 것이 아니라
“어떻게 보느냐”가 점수를 결정합니다
관심 있으신 분들은
하단의 링크를 참고해주시기 바랍니다.
https://oreostructure.tistory.com/notice/183
7급 대비 응용역학 하프 모의고사 + 해설 강의 모집
7급 시험을 준비하면서“시간이 부족하다”, “문제를 보고 어떻게 접근해야 할지 모르겠다”는 고민을 하신 분들이 많을 것입니다.이번 강의는 단순한 문제풀이가 아니라,시험장에서 실제로
oreostructure.com