2024년 5급 공채 응용역학 3번 (손계산으로 풀어보는 아름다운 문제)

1. 개요
문제를 보고 “아름답다”라고 느끼는 순간이 있습니다.
그럴 때는 대부분, 다른 사람들은 복잡하게 돌아가는 길을 택할 때 출제자가 던져준 힌트를 통해 훨씬 쉽고 간결하게 해결할 수 있을 때입니다.
특히 2024년 5급 응용역학 3번 문제는 그런 사례라고 생각합니다.
3번의 1번과 2번을 각각 별개의 문제로 풀어내는 경우도 많지만, 사실 2번은 1번의 결과를 활용하면 매우 간결하게 해결할 수 있습니다.
출제자는 1번에서 ‘단위 회전각’을 제시함으로써 변위법 적용에 대한 힌트를 명확히 주고 있습니다.
이 힌트를 제대로 읽어낸다면, 3차 부정정 구조인 2번 문제도 단자유도 문제로 환원하여 쉽고 깔끔하게 풀 수 있습니다.
이 지점에서 출제자의 의도를 느끼게 됩니다.
단순히 계산 능력이 아니라, 변위법을 이해하고 이를 적절히 활용할 수 있는 사람을 선별하려는 문제였다고 생각합니다.
그런 의미에서 매우 잘 만들어진, 그리고 ‘아름다운’ 문제라고 볼 수 있습니다.
다만 한편으로는 아쉬움도 있습니다.
요즘 공학용 계산기의 성능이 워낙 뛰어나기 때문에, 출제 의도와는 다른 방식으로도 정답에 도달할 수 있기 때문입니다.
예를 들어 3번의 2번 문항은 강체 구간을 EI'로 처리한 뒤, 계산기를 이용해 무한대로 극한값을 보내버리면 답을 얻을 수 있습니다.
결과는 동일하지만, 이는 출제자가 의도한 접근이라고 보기는 어렵습니다.
과거 저는 시험에서 공학용 계산기 사용을 제한해야 한다고 제안한 적도 있습니다.
그만큼 계산기의 기능이 강력해서, 문제에 숨겨진 구조나 의도를 무시하고도 ‘힘으로 밀어붙여’ 해결하는 것이 가능하기 때문입니다.
대신 계산 실수에 대해서는 보다 관대한 부분점수를 주는 방향이 바람직하다고 생각했습니다.
하지만 현실적으로 채점 효율성 등의 문제로 이러한 방식은 받아들여지기 어렵습니다.
결국 계산 자체는 앞으로도 계산기나 구조해석 프로그램이 담당하게 될 것입니다.
그렇다면 엔지니어에게 더욱 중요한 것은, 문제를 바라보는 논리 구조와 해석 능력입니다.
그리고 그 사고 과정을 스스로 설명하고 표현할 수 있는 능력이 필요합니다.
이제 공학용 계산기를 잠시 내려놓고, 손계산을 통해 이 문제를 풀어보겠습니다.
2.문제풀이
(1) 3-1번 문제 풀이

모멘트가 전구간에서 1차식이 되므로 보의 처짐곡선식은 3차 방정식이 됩니다.
경계조건 (Boundary Condition) 적용하여 수평 축 x에 대해 순차 적분하게 되면 다음과 같이 처짐 곡선식을 산정할 수 있습니다.

추가로 x=L일 때 y=0 인 Boundary condition을 적용하게 되면 다음과 같습니다.

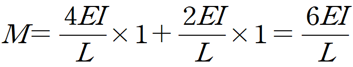
따라서 다음과 같이 M을 산정할 수 있습니다.

이는 우리가 알고 있는 처짐각법 결과와 일치하기도 합니다.

(2) 3-2번 문제 풀이

P 방향으로 δ만큼 당겼을때 강체와 보부분의 접합부의 회전각은 강체의 현회전각에 의해 종속됩니다.
이를 그림으로 표현하면 다음과 같습니다.

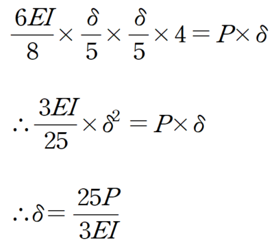
이때 보의 각 절점에 걸리는 내력은 3-1번 결과에 따르면 다음과 같습니다.

이제 가상 변위의 법칙을 활용하여 식을 세우면 다음과 같습니다.

주어진 물성치를 대입하면 다음과 같습니다.

3.마무리하며
저는 예전부터 여러 포스팅을 통해, 강체는 오히려 문제를 어렵게 만드는 요소가 아니라 문제를 쉽게 풀 수 있도록 돕는 장치라고 이야기해왔습니다.
이번 문제에서도 확인할 수 있듯이, 강체는 종속변위를 만들어내고 자유도를 줄여주는 역할을 합니다.
이러한 관점을 이해하고 있느냐에 따라 문제의 난이도는 완전히 달라집니다.
해당 개념에 대해서는 이전 구독자 Q&A 포스팅에서도 다룬 바 있으니, 관심 있으신 분들은 하단의 링크를 참고해보시면 도움이 될 것입니다.
https://oreostructure.tistory.com/129
강체가 있는 단순보의 처짐 (구독자 질의)
1.개요한 구독자 분께서“EI 강체(EI → ∞)가 오히려 문제를 더 쉽게 만든다”는 제 의견에 대해 깊은 인상을 받으셨다고 하며,여러 가지 EI 강체가 포함된 문제들을 직접 시도해 보신 후 위 문제
oreostructure.com
비록 5급 문제이지만, 7급을 준비하시는 분들께서도 충분히 얻어갈 것이 많은 문제라고 생각하여 함께 다뤄보았습니다.
구조기술사나 5급 공채 문제에서 비대칭 전단중심과 같이 ‘개념적 의미 보다는 계산기 의존도가 매우 큰 계산만 복잡한 문항’들에 대해서는 개인적으로 아쉬움을 느끼는 편입니다.
계산기의 기능이나 숙련도에 의존해야만 풀 수 있는 문제는, 좋은 문제라고 보기는 어렵다고 생각합니다.
하지만 대부분 주요 개념들이 깊게 녹아있는 질 좋은 문제들이 많아 교수님들이 어떤 시야를 갖고 있는가에 대해 좋은 힌트를 얻는 경우가 많습니다.
결국 중요한 것은 계산 능력이 아니라, 구조를 바라보는 시야와 논리입니다.
이번 문제를 통해 그런 부분에 대한 인사이트를 하나라도 얻어가셨기를 바랍니다.
끝으로, 현재 7급 공채 대비 하프 모의고사반을 운영하고 있습니다.
관련하여 1회차 모의고사를 이전 포스팅에서 다뤘으니, 직접 문제를 풀어보시고 답안도 함께 확인해보시기를 권해드립니다.
https://oreostructure.com/189