2015년 7급 서울시 응용역학 4번 (강체 좌굴, 힘의 평형과 가상 변위의 법칙)

1. 개요
이전 글에서 가상변위의 법칙(Virtual Displacement Method) 을 활용한 문제 풀이 방식을 소개드린 바 있습니다.
https://oreostructure.tistory.com/28
강체 기둥 좌굴 - 반드시 빠르게 정답을 정확하게 도출하자
외부 가상일과 내부 가상일1. 외부 가상일강체 기둥에 외력 P가 길이 L의 강체 기둥을 $\theta$ 만큼 기울였을때 P가 하는 일은 $P\times L\times \theta^{2}$2. 내부 가상일회전 스프링 : 회전 스프링이 회전
oreostructure.com
이번 포스팅에서는 그 개념을 한 단계 더 확장하여,
가상변위의 법칙으로 도출한 식과 자유도 기반 평형방정식이 어떻게 동일해지는지 직접 비교해 보겠습니다.
이미 앞선 글에서 설명드린 것처럼,
가상변위의 법칙을 적용하면
결과적으로 그 자유도에 해당하는 평형방정식과 완전히 동일한 형태의 식이 도출됩니다.
https://oreostructure.tistory.com/43
2017년 7급 국가직 응용역학 4번 풀이 (힘의 평형과 가상변위의 법칙)
1. 개요힘의 평형과 가상변위의 법칙2017년 7급 국가직 응용역학 문제들 중에는 힘의 평형을 이용해 풀이하는 유형들이 여럿 있습니다.하지만 이들 대부분은 가상변위의 법칙을 적용해도 똑같이,
oreostructure.com
즉, “변위 기반 사고”와 “힘 기반 사고”가
결국 같은 결론으로 수렴한다는 점을 확인할 수 있습니다.
이번에는 이 원리를 강체좌굴(Rigid Body Buckling) 유형에도 적용해 보겠습니다.
강체좌굴 역시 자유도 관점에서 매우 직관적으로 해석할 수 있는 주제이며,
가상변위의 법칙을 적용하면 복잡해 보이는 해석을
단 한 번의 식 정리로 명확히 이해할 수 있습니다.
2. 가상 변위의 법칙 풀이

(1) 외부일
각 기둥은 9×θ^2 만큼 내려가며 압축력 P가 한 외부일은 다음과 같이 산정할 수 있습니다.

(2) 내부일
각 회전 스프링이 한 내부일은 다음과 같습니다.

(3) 외부일 = 내부일

스프링 강성 kθ가 βR과 동일하므로 답은 ②번이 됩니다.
3. 평형방정식 풀이
스프링이 변형되면 그에 따른 스프링력(Spring Force) 이 발생하게 되고,
이 스프링력은 반작용(Reaction) 의 형태로 강체 부재의 회전에 저항하는 외력으로 작용합니다.
즉, 강체부재가 회전하려고 하면 스프링은 그 회전에 맞서
반대 방향의 힘을 가하여 균형을 이루게 됩니다.
이를 그림으로 나타내면 다음과 같습니다

이에 따른 자유물체도 (Free Body Diagram)을 그려보면 다음과 같습니다.

대칭축을 기준으로 보면, 구조 전체를 Fixed–Roller 조건으로 모델링할 수 있습니다.
이 경우 대칭 조건 때문에 전단력(Shear Force) 은 존재하지 않으며,
양 끝의 힌지에서도 수평반력(Horizontal Reaction) 이 필요하지 않게 됩니다.
또한 두 기둥은 완전히 대칭이므로
각 기둥이 받는 부재력과 변형은 서로 동일한 조건을 갖습니다.
따라서 해석 과정에서 굳이 전체 구조를 다루지 않더라도,
한쪽 기둥만 선택하여 모멘트 평형식을 세우면 충분합니다.
해당 기둥에 대해 모멘트 평형을 작성하면 다음과 같은 관계식을 얻을 수 있습니다.

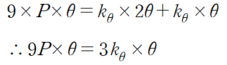
위에서 가상 변위의 법칙으로 도출했던 식과 비교해봅시다.

이는 전 구조물에 대한 가상 변위의 법칙이므로 대칭 축을 기준으로 절반씩 외부일과 내부일을 적용해 봅시다.

4. 평형방정식과 가상 변위의 법칙 비교

결국 접근 방식은 달라 보일지라도,
힘의 평형(Equilibrium) 과 가상변위의 법칙(Virtual Work) 이
동일한 식을 도출한다는 사실을 다시 한 번 확인할 수 있었습니다.
저는 그동안 가상변위의 법칙을
정역학 문제부터 시작해, Frame 구조물의 처짐각법(Slope-Deflection) 해석,
그리고 다양한 부정정 구조물 문제에까지 폭넓게 적용해 왔습니다.
그리고 그 과정마다 항상 강조드렸던 점이 있습니다.
“힘의 평형과 가상변위의 법칙은 결국 동일한 원리를 다른 관점에서 바라본 것이다.”
이번 좌굴 문제 역시 이 사실을 다시 확인하는 좋은 예가 되었습니다.
두 관점은 서로 다른 방식처럼 보이지만,
결국 구조물의 자유도와 반력·내력을 어떻게 해석하든
하나의 동일한 해답으로 수렴한다는 점을 다시 한번 이해하시면 좋겠습니다.