응용역학-구조역학 필수 이론
FEM 공식 유도 및 응용 (Ⅱ)
Oreo Structure
2026. 1. 19. 08:00
반응형
FEM 공식 유도 및 응용 (Ⅰ)
안녕하세요. 오레오 구조입니다.이번 포스팅에서는 필수적으로 알아두어야 할 FEM(Fixed End Moment) 공식 몇 가지를 직접 유도해 보고,이를 실제 문제풀이에 어떻게 활용할 수 있는지까지 함께 다뤄
oreostructure.com
안녕하세요 오레오구조 입니다.
이전 포스팅에 이어 FEM 공식 유도 내용을 이어나가고자 합니다.
집중하중과 등분포하중의 FEM은 비교적 활용도가 매우 높습니다.
활용도가 높지는 않지만 기출이 된 적이 있으며 알아야 하는 하중군에 대한 FEM에 대해 이어나가려고 합니다.
FEM유도도 최대한 손계산이 가능한 범위에서 소개하였습니다.
이번에도 암기하시면서 따라해보시기 바랍니다.
다양한 문항에 대한 계산 Tool을 확보하는데에 매우 큰 도움이 될 것입니다.
반응형
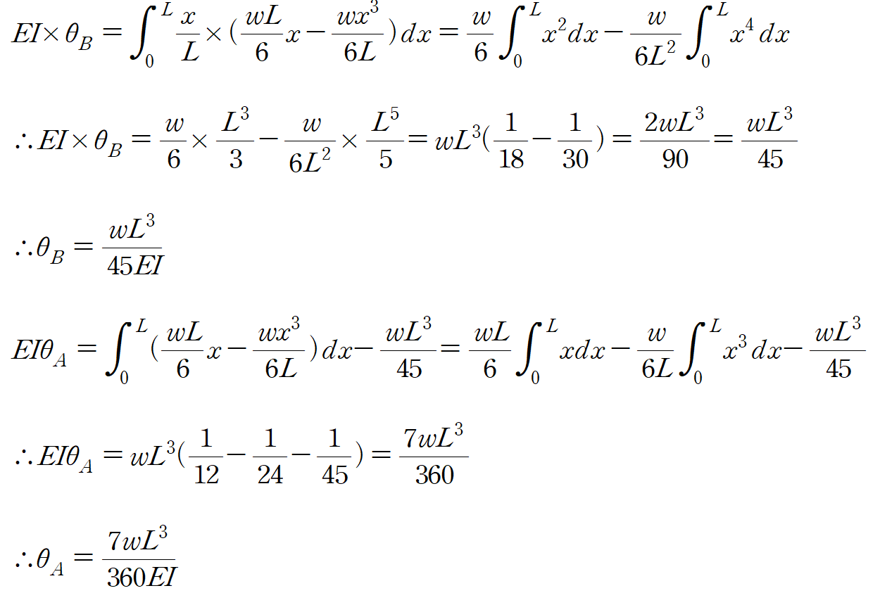
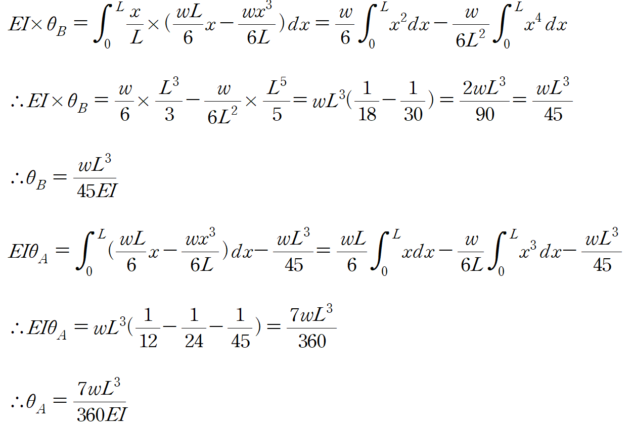
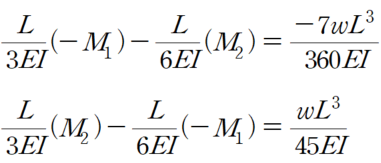
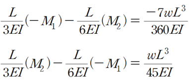
Case 3 : 삼각 분포하중에 대한 FEM

변위 일치 방법 (공액보법)
① 공액보법을 활용한 단순보에서의 회전각 산정


② 회전각을 0으로 만드는 양단 고정단 모멘트 산정


연립하여 풀게 되면

Case 4 : 중앙에 모멘트 작용할 때의 FEM

모멘트 분배법 (역대칭 활용)

따라서 양 끝단의 모멘트는 M/4가 된다.

반응형