단순보의 지점 처짐에 대한 질문 (구독자 질문)

1.개요
구독자분들께 실질적인 도움이 되고자,
질문 중 많은 분들이 공통적으로 궁금해하실 만한 내용은
별도 포스팅으로 정리해 드리는 방식으로 운영해 보려고 합니다.
이번 글은 한 구독자 분께서 주신 질문에 대한 답변입니다.
“단순보에 지점침하가 발생하면 양 끝단의 회전각은 어떻게 되나요?”
이 질문을 정확하게 이해하려면,
지점침하가 보의 회전에 어떤 영향을 주는지,
그리고 그 회전각을 어떻게 해석할 수 있는지를 살펴봐야 합니다.
이를 가장 깔끔하게 정리하는 방법이 바로
등가 절점하중(Equivalent Nodal Force) 개념을 활용하는 것입니다.
이번 포스팅에서는
단순보에 지점침하가 일어났을 때의 현회전각을 어떻게 정의하고 계산하는지,
그리고 이를 등가 절점하중으로 어떻게 해석하는지
차근차근 설명드리겠습니다.
2. 풀이
시계방향의 현의 회전이 시계방향으로 이뤄지면 이에 따른 현회전각은 반시계방향으로 이뤄집니다.
따라서 FEM은 다음과 같습니다.

이를 그림으로 표현하면 다음과 같습니다. (시계방향 + / 반시계방향 -)

한편 등가절점하중은 -FEM (크기는 동일, 방향은 반대)으로 표현할 수 있습니다.
따라서 등가절점하중은 그림으로 다음과 같이 표현됩니다.

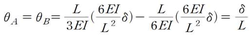
이제 양끝단에 모멘트가 작용했을때의 유연도를 활용하여 양끝단 회전각을 산정하면 다음과 같습니다.

이 δ/L 값을 그림으로 표현하자면 다음과 같습니다.

양끝단의 회전각이 시계방향으로 δ/L생기는 것은 그림상으로도 당연해 보입니다.
정정구조물에서는 지점침하가 생기면 부재력이 발생하지 않으니 실제로도 직선모양으로 위 그림처럼 휨이 없이 거동할 것입니다.
여기에서 현 회전각은 값이 어떻게 될까요?
정답은 0 입니다.
현회전각의 정의는 이전 포스팅에서도 봤듯이 현(chord)에서 접선 (tangent)까지의 각도 입니다.
보 구조물 변위법의 기본 - 처짐각법 pt 2
1. 개요이번 글은 처짐각법 Pt.1에 이어 두 번째 글입니다.https://oreostructure.com/48 보 구조물 변위법의 기본 - 처짐각법 pt 11. 개요단순보 양끝에 모멘트가 작용하면 휨은 어떻게 될까요?구조물을 스
oreostructure.com
접선 자체가 없으니 현회전각 양이 0이 됩니다.
현회전각이 존재한다면 양끝단의 회전각은 다르게 산정될 것입니다.
3. 마무리하며
단순보에서 한쪽에서 지점침하가 발생하면
"양쪽 끝단의 각도는 0이 아니지만 (=δ/L) 현회전각은 0이다."
라고 정리할 수 있습니다.
구독자분의 질문은 현회전각의 정의를 상기시킬 수 있는 매우 좋은 질문이었다고 생각합니다.
끝으로 제 블로그 구독도 많이 부탁드립니다.
구독자분들이 해주신 소중한 질문들 중 개념상으로 많은 분들이 헷갈릴수도 있다라고 판단되는 부분은 별도 포스팅을 하여 많은 분들에게 도움이 되도록 하겠습니다.