재미있는 문제- 쉬운풀이/합성구조물

2017년 7급 국가직 17번 - 합성구조물의 스프링 치환

Oreo Structure 2025. 10. 26. 12:58
반응형

2017년 7급 국가직 17번 문제

1. 개요

합성 구조물이 시험에 출제될 때, 이를 스프링으로 치환하여 풀이하는 수험생은 많지 않습니다.
이는 치환 과정에서 실수를 해 오답을 낼까 두려워서일 수도 있고, 이러한 접근 방식에 익숙하지 않기 때문이기도 합니다.

그러나 기술사 문제든 7급·9급 문제든, 많은 수험생들이 구조물을 전체적으로 바라보기보다는 부분적인 해석에 집중한 나머지 ‘큰 그림’을 놓치는 경우가 많습니다. 실제로 동일한 문제를 제시하고 스프링 치환 없이 풀어보라고 하면, 대부분 변위 일치 조건만을 떠올립니다. 물론 변위 일치법도 강력한 해석 도구이지만, 문제를 가장 효율적으로 푸는 방법이라고 하기는 어렵습니다.

스프링 치환을 자주 시도해보시기 바랍니다. 이러한 연습은 기술사 문제 풀이뿐 아니라, 역학 전반에 대한 감각과 직관을 끌어올리는 데 큰 도움이 됩니다.

2. 스프링의 직렬 연결과 병렬 연결

스프링의 직렬 연결과 병렬연결에 대한 글은 아래 링크를 참조하시기 바랍니다.

https://oreostructure.com/38

 

3. 합성 구조물의 스프링 치환

① 캔틸레버 보의 스프링 계수 (처짐 공식 암기 통해)

② B 지점의 수직 처짐 자유도 (δ) 를 통해 본 스프링 연결 방식

  • 스프링 k와 보 CD는 B지점 자유도에 대해 직렬 연결
  • B지점 스프링 k와 보 AB의 자유단이 동일 자유도에 구속 → 병렬 연결 

 

4. 문제 풀이

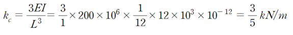
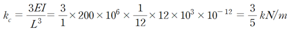
(1) 캔틸레버보의 강성 (kc)산정

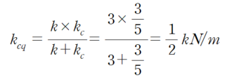
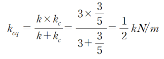
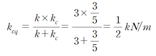
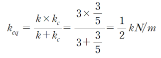
(2) 스프링 k와 캔틸레버보 CD의 등가 강성도 산정

(3) 44N 하중의 분배

 


스프링 병렬연결이기 때문에 강성도의 비율만큼 하중 분배

 

 

 

 

 

 

(4) Spring k에 작용하는 하중 

직렬연결 = 힘이 동일, 따라서 20N 작용

 

(5) Spring의 변형량 산정 = F/k

답 : 20/3000 m = 20/3 mm  (① 번)

 

5. 마무리 하며

문제에서 외력을 44 N으로 제시한 것은 출제자의 세심한 배려가 엿보이는 부분입니다.
등가 스프링의 비율이 5 : 6이므로, 외력을 11의 배수로 설정하면 계산이 훨씬 간단해집니다.
즉, 복잡한 연산보다는 구조 개념 이해에 초점을 맞추라는 의도라 볼 수 있습니다.

최근 다양한 합성 구조물 문제에서, 출제자가 스프링 치환직렬·병렬 연결 개념을 의도적으로 유도하는 경향이 뚜렷합니다.

특히 2017년 7급 응용역학 시험은 역대급 난이도라는 평가를 받았지만,
표면적으로 복잡해 보이는 문항이라도 스프링 치환을 통해 접근하면
오히려 매우 단순하게 해결할 수 있습니다.

반응형