
1.개요
실제 시험에서 조합하중 문제가 나오면 어떻게 대응해야 할까요?
제 개인적인 추천은 바로 풀지 말고 일단 넘긴 뒤, 시간이 허용될 때 다시 돌아와 푸는 것입니다.
일반적으로 응력을 구하는 문제는
단면2차모멘트, 단면1차모멘트, 극관성모멘트 등을 산정해야 하는 경우가 많습니다.
이 중 하나만 계산하더라도, 공식 자체는 알고 있더라도 손계산 환경에서는 부담이 큰 작업입니다.
그런데 조합하중 문제는 이를 여러 개 산정한 뒤 다시 조합해야 하므로,
계산 과정 중 단 하나의 실수만 있어도
시간은 시간대로 쓰고 정답은 틀리는, 이른바 안 푸니만 못한 상황이 되기 쉽습니다.
위의 문제의 그림은 이러한 조합하중의 대표적인 유형입니다. (실제 문제는 그렇지 않습니다.)
조합하중 유형은 실제로 대학 중간고사나 기말고사에 출제되더라도 정답률이 높지 않은 편에 속하는 문제라고 볼 수 있습니다.
조합하중 문제에는
- 하중 조합 과정에서의 실수
- 단면계수 산정 오류
- 모멘트 암(arm) 설정 실수
등, 실수할 수 있는 요소가 여러 겹으로 숨어 있습니다.
따라서 공무원 시험처럼 시간 압박이 큰 시험에서는 전략적으로 피하는 것이 합리적이라고 생각합니다.
그럼에도 불구하고 이 문제를 포스팅하는 이유는, 문제에서 출제자의 배려가 있는 장치가 있기 때문입니다.
문제에서 "휨응력에 대해서만 설계하면, 허용할 수 있는 z 축 방향의 최대 풍압" 을 물어봤으므로 풍압에 대해서만
고려하면 됩니다.
출제한 분도, 실제 조합하중 문제는 부담스러울 수 밖에 없다라는 것을 알고 있는 것 같습니다.
2. 문제풀이
풍력에 의한 하중은 Z 축 방향에 나란하게 작용합니다.
모멘트 암 (arm)은 Y축 거리에 있습니다.
모멘트의 정의는 : 모멘트 암 × 하중입니다. 그리고 벡터 외적에 의해 정의됩니다.
벡터 외적에 대해 모르시더라도 간단하게 생각하면 됩니다.
힘은 Z 축, 거리는 Y축이라면, 모멘트는 나머지 한개의 축, X 축에 작용합니다.
풍력의 힘은 풍압 p × 2 × 1 로 정의됩니다.
모멘트 암은 y축 방향으로 표지판의 정 중앙부분 입니다.
따라서 5.5m+0.5m = 6m 입니다.
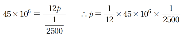
모멘트의 크기도 : 모멘트 암 × 하중이므로 : 2p × 6 = 12 p 입니다.

(모멘트 작용 : 오른손을 기준으로 엄지를 쌍화살표에 놓고 나머지 4개의 손가락을 엄지에 대해 회전시키는 방식)
이때 최대 응력을 산정하기 위한 단면계수 (S)는 다음과 같습니다.

문제에서 허용 휨 응력이 45MPa라고 하였으므로

따라서 풍압 (p)는 아래와 같습니다.

답은 ②번 입니다.
3. 마무리하며
실제 아래와 같은 단면에서는 풍압에 의해 휨응력뿐만 아니라 비틀림도 동시에 발생합니다.
이 경우 하중의 작용선과 단면 중심 사이의 모멘트 암(arm)은 (0.2+1) m 이 되며,
그 결과 y축에 대한 비틀림(Torsion) 이 발생한다는 점을 파악할 수 있습니다.
여기에 더해,
기둥 자체의 자중과 간판의 자중을 함께 고려하게 되면
축방향 압축력에 따른 압축응력 또한 무시할 수 없습니다.
또한 풍압은 단순히 모멘트만 유발하는 것이 아니라,
전단력에 의한 전단응력 역시 동시에 발생시킵니다.
결국 이와 같은 문제에서는 다음과 같은 응력들이 복합적으로 작용하게 됩니다.
- 휨응력
- 압축응력
- 비틀림에 의한 전단응력
- 전단력에 의한 전단응력
7급·9급 시험에서는 이 모든 응력을 한꺼번에 고려하도록 출제되기보다는,
이 중 2가지 정도를 선택적으로 고려하도록 출제될 가능성이 높습니다.
이러한 경우 단면은 거의 예외 없이
원형단면 또는 중공 원형단면으로 주어집니다.
이는 원형단면이 비틀림 해석에서 가장 단순하고 명확한 단면이기 때문이며,
비원형 단면의 비틀림 해석은 계산과 이론 모두 매우 복잡해지기 때문입니다.
단순히 정답을 맞히는 데서 그치지 말고,
하중이 어디에서 어떻게 발생하며, 그 결과 어떤 응력들이 함께 작용할 수 있는지를
항상 함께 고민해 보시기 바랍니다.
이러한 사고 과정이 쌓일수록, 문제를 보는 시야와 응용역학에 대한 이해도 역시 자연스럽게 확장될 것입니다.