
1. 개요
구조동역학을 공부하다 보면 고유진동수(ω)라는 용어에서 막히는 경우가 있습니다. 복잡한 진동 방정식이나 행렬식을 떠올리며 겁을 먹는 경우도 있죠. 해당 포스팅인 2017년에도 출제되었으며, 가장 최근에는 2024년 군무원 응용역학 7급 10번 문항에도 출제된 바 있습니다.
https://oreostructure.tistory.com/20
2024년 군무원 응용역학 7급 문제 풀이
2024년 7급 군무원 응용역학 기출 총평2024년 군무원 7급 응용역학 시험은 기본 개념을 묻는 문제와 계산량이 많은 문제의 구분이 명확했다.시간 안배와 선택적 접근이 중요했으며, 어려운 문제를
oreostructure.com
하지만 사실 고유진동수 문제의 본질은 강성도(K)를 구하는 문제와 다르지 않습니다.
결국 아래 식 하나로 요약할 수 있습니다.

즉, 고유진동수는 강성과 질량의 비율로 결정됩니다.
문제를 단순히 “이 시스템의 강성이 얼마나 큰가?”라는 관점에서 보면
훨씬 쉽게 접근할 수 있습니다.
더 많은 이론을 공부하고 싶다면 하단의 링크를 참조하십시오.
https://oreostructure.tistory.com/53
자유진동 Free Vibration 과 고유진동수
자유진동 Free Vibration과 고유진동수 Natural Frequency구조물이나 물체가 외력 없이 스스로 진동하는 현상을 자유진동 , Free Vibration 이라고 합니다.즉, 한 번 변형시킨 뒤 손을 떼었을 때, 구조물이 자
oreostructure.com
(1) 그림으로 직관적으로 이해하기
문제의 그림을 보면 두 가지 형태가 자주 등장합니다.
이를 단순히 스프링 연결 방식으로 바라보면 개념이 훨씬 명확해집니다.
(A) 그림 — 병렬 연결
(A)에서는 단순보 중앙의 처짐 자유도와 스프링의 자유도가 함께 작용하고 있습니다.
즉, 두 요소가 하나의 변형에 동시에 저항하고 있으므로 병렬 연결입니다.
병렬 연결에서는 전체 강성 K가
K=K1+K2K = K_1 + K_2로 단순히 합쳐집니다.
따라서 고유진동수는 커지게 됩니다.
(B) 그림 — 직렬 연결
(B)에서는 하중(힘)은 그대로 전달되지만,
각 구성요소의 자유도(변위)는 서로 독립적으로 작용합니다.
즉, 전형적인 직렬 연결입니다.
직렬 연결에서는 전체 강성 K가
1K=1K1+1K2\frac{1}{K} = \frac{1}{K_1} + \frac{1}{K_2}로 표현되며, 병렬보다 강성이 작습니다.
따라서 고유진동수도 더 작게 나타납니다.
2. 고유진동수의 비교는 강성비 비교와 같다
문제에서 ω_A와 ω_A 의 비율을 구하라”라고 물었다면,
사실상 “√(K_A)와 √(K_B)의 비율을 구하라”는 것과 같습니다.
왜냐하면 두 경우 모두 매달린 질량 M이 동일하므로,
질량은 비율 계산에 영향을 주지 않기 때문입니다.

즉, 고유진동수를 직접 구하려 하지 말고
먼저 시스템의 강성 구조(병렬인지 직렬인지)만 판단하면
훨씬 빠르고 직관적으로 답을 얻을 수 있습니다.
2. 문제 풀이
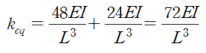
(1) 그림 (A)의 강성도 산정


(2) 그림 (B)의 강성도 산정


(3) ω_A : ω_B 비율 산정

3. 마무리 하며
(1) 고유진동수 문제의 본질 — 처짐과 강성도를 묻는 문제로 이해하자
문제가 무엇을 묻는가에 따라 ‘구조동역학’으로 분류될 수도 있지만,
실제로는 처짐과 강성도를 구하는 문제 유형으로 접근해도 충분합니다.
예를 들어 2024년 군무원 7급 응용역학 10번 문제와 비교해보면,
두 문제 모두 결국 강성비(K비)를 구하는 구조라는 점에서
학습 방향이 동일함을 확인할 수 있습니다.
(2) 2017년 문제의 특징 — 복잡해 보여도 본질은 단순
2017년 시험에서는 겉보기에는 식이 길고 복잡해 보이지만,
구조물 자체만 보면 대부분이 전형적인 직렬·병렬 연결 형태였습니다.
즉,
“이 구조물은 힘이 같은가? 변위가 같은가?”
라는 관점에서 직렬·병렬 여부를 파악하면
길어 보이는 문제도 단순한 강성 조합 문제로 쉽게 정리되었습니다.
이 점을 이해하고 나면, 복잡한 진동문제나 고유진동수 문제도
결국 K의 크기를 비교하는 문제임을 직관적으로 파악할 수 있습니다.
(3) 최근 출제 경향 — 난이도는 완화, 개념은 동일
최근 출제 경향은 2017년에 비해 전반적으로 쉬워진 편입니다.
하지만 혹시라도 난도가 올라간다면,
2017년 국가직 7급 수준을 상한선으로 생각하고 대비하시면 충분합니다.
즉,
- 구조동역학 문제라도 강성비(K비) 중심으로 사고하고,
- 복잡한 그림이 나와도 직렬·병렬 연결 관계를 먼저 파악하면,
- 어떠한 고유진동수 문제도 당황하지 않고 차분히 접근할 수 있습니다.
(4) 정리하며
고유진동수 문제는 결코 별도의 이론영역이 아닙니다.
결국 “변형이 얼마나 일어나는가(처짐)”와 “얼마나 단단한가(강성도)”를 묻는 문제입니다.
이 점을 명확히 이해하고
2017년과 2024년 문제를 병행 학습한다면,
향후 어떠한 구조동역학 문제에서도 훨씬 빠르고 안정적인 풀이가 가능할 것입니다.
'재미있는 문제- 쉬운풀이' 카테고리의 다른 글
| 구조역학 스킬 연습용 문제 (계산기 필수) (0) | 2025.10.29 |
|---|