
1. 개요
2015년에는 서울시 7급과 국가직 7급 모두에서 강체 좌굴 문제가 출제된 바 있습니다. 두 문제 모두 강체 좌굴을 다루고 있지만, 핵심적인 차이점은 바로 스프링의 종류입니다.
https://oreostructure.tistory.com/69
서울시 7급은 회전 스프링(rotational spring)이 출제되었고, 국가직 7급은 직렬 연결된 선형(병진) 스프링이 등장했습니다. 두 문제를 함께 정리해 두면, 어떤 스프링이 존재하느냐에 따라 좌굴 해석 방식이 어떻게 달라지는지 명확하게 감을 잡을 수 있습니다.
2015년 7급 서울시 응용역학 4번 (강체 좌굴, 힘의 평형과 가상 변위의 법칙)
1. 개요이전 글에서 가상변위의 법칙(Virtual Displacement Method) 을 활용한 문제 풀이 방식을 소개드린 바 있습니다.https://oreostructure.tistory.com/28 강체 기둥 좌굴 - 반드시 빠르게 정답을 정확하게 도출
oreostructure.com
회전 스프링이 존재하는 경우에는 회전 자유도(θ)에 대해 가상변위 법칙을 적용하게 됩니다.
즉, 스프링의 회전 강성이 곧 모멘트–회전각 관계로 모델링됩니다.
반면, 일반 스프링(선형 스프링)이 존재하는 경우에는 스프링이 저항하는 변위 자유도, 즉 횡방향 변위(δ)에 대해 가상변위를 적용하여 좌굴 조건을 구성합니다.
즉, 스프링의 종류에 따라
- 어떤 자유도에 가상변위를 줄지,
- 강성항이 모멘트로 들어오는지 / 전단력으로 들어오는지,
- 좌굴 조건식의 형태가 어떻게 달라지는지
가 완전히 달라집니다.
두 문제를 비교하여 개념을 정리해 두시면, 이후 어떠한 형태의 스프링이 나오더라도 좌굴 해석을 보다 구조적으로 접근할 수 있을 것입니다.
2. 문제풀이 (2가지 방법 : 가상변위의 법칙 / 힘의 평형)
(1) 문제의 단순화 (직렬 연결 스프링 → 등가 강성 스프링 교체)

2개의 동일한 스프링이 직렬 연결되었기 때문에, 위 그림과 같이 등가 강성도를 손쉽게 산정할 수 있습니다.
직렬 연결된 스프링은 변위가 각각 더해지고, 전체 하중은 동일하게 작용한다는 특성을 갖습니다. 따라서 동일한 스프링 두 개가 직렬로 연결되면 전체 변형량이 두 배가 되며, 이는 곧 유연성이 증가한다는 의미입니다.
직관적으로 해석해보면, 동일한 스프링을 직렬로 연결한다는 것은 스프링의 전체 길이를 늘리는 것과 동일한 효과를 주며, 스프링이 더 부드러워지는 방향으로 작용합니다. 따라서 등가 스프링의 강성도는 자연스럽게 기존 스프링의 절반, 즉

가 됩니다.
즉, 동일한 스프링 2개가 직렬이라면 굳이 공식을 외우지 않더라도 “더 잘 늘어나는 방향이다 → 강성도는 낮아진다 → 절반이 된다”라는 직관으로 바로 판단할 수 있습니다.
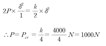
(2) 가상 변위의 법칙 풀이

① 외부 가상일

② 내부 가상일

③ 외부 가상일 = 내부 가상일

따라서 답은 ②번 입니다.
(3) 힘의 평형

구조물은 스프링에 대하여 위의 그림과 같이 대칭이기 때문에 대칭축을 기준으로 한쪽의 힘의 평형만 생각하면 됩니다.

답은 ②번 동일하게 산정됩니다.
3. 마무리하며
이번 문제는 힘의 평형과 가상 변위의 법칙이라는 두 관점을 모두 활용하여 풀이를 전개해 보았습니다. 이러한 접근은 과거 포스팅했던 2015년 서울시 7급 회전스프링이 포함된 강체 좌굴 문제에서도 동일하게 적용되었고, 서로 다른 방식으로 풀어도 동일한 식과 결과가 도출된다는 것을 확인한 바 있습니다.
여러 차례 강조드렸듯이, 가상변위의 법칙은 힘의 평형과 깊은 연관을 가지고 있습니다. 때로는 이 관계를 역으로 활용하여, 힘의 평형을 통해 오히려 Kinematic 관계(변위 적합식) 를 유도할 수도 있습니다.
강체 좌굴 문제는 겉보기와 달리 매우 흥미로운 구조를 가지고 있으며, 기본 개념이 잡혀 있는 분들은 높은 정답률로 풀어내는 대표적 유형이기도 합니다.
특히 회전스프링 + 강체 좌굴 문제, 그리고 이번 문제와 같이 스프링의 직렬·병렬 개념이 결합된 좌굴 문제는 구조역학 개념을 정교하게 정리할 수 있는 좋은 학습 소재입니다. 두 문제의 접근법을 정확히 이해해두시면, 앞으로 형태가 다소 변형된 신유형 문제가 출제되더라도 충분히 빠르고 안정적으로 대응하실 수 있을 것입니다.
'재미있는 문제- 쉬운풀이 > 좌굴 문제' 카테고리의 다른 글
| 2014년 5급 공채 재료역학 4번 문제 (기술고시 문제로 확장) (2) | 2026.02.10 |
|---|---|
| 2018년 1차 서울시 7급 14번 (5) | 2026.02.01 |
| 2024년 9급 지방직 응용역학개론 18번(좌굴 mode에 대한 이론) (2) | 2025.11.24 |
| 2015년 7급 서울시 응용역학 4번 (강체 좌굴, 힘의 평형과 가상 변위의 법칙) (0) | 2025.11.20 |
| 2018년 7급 응용역학 9번 문제 (지점 종류에 따른 좌굴 하중의 차이) (0) | 2025.11.02 |