

1. 개요
구독자분께서 축부재 문제에 대해 질문을 주셔서, 단순히 풀이만 제시하는 데 그치지 않고 자유도 관점까지 확장하여 조금 더 깊게 해석해보려고 합니다.
이전에 구독자 대상 라이브 강의에서 축부재의 자유도 산정에 대해 설명드린 적이 있는데, 이번에 질문을 주신 분도 당시 라이브를 보셨던 분이셨습니다. 그 내용을 바탕으로 보면, 위 구조물은 2자유도 시스템으로 해석할 수 있습니다. B와 C 절점은 수평 및 수직 방향 변위가 구속되어 있는 반면, A 절점은 수평·수직 방향으로 변위가 가능하기 때문입니다.
저는 이전 포스팅에서 단자유도(자유도=1) 구조물에 대해 가상변위의 법칙을 적용하여 매우 쉽고 빠르게 문제를 푸는 방법을 소개한 바 있습니다. 그 과정에서 변위가 ‘제곱꼴’로 나타나는 이유 또한 가상변위의 법칙 관점에서 설명드렸습니다.
그런데 이번 질문의 핵심은 여기서 한 단계 더 나아가 있습니다. 구조물이 단자유도가 아니라 다자유도일 때에도, 단자유도에서 보였던 그 ‘변위의 제곱꼴’이 어떤 형태로 등장하는지, 그리고 그 의미가 무엇인지가 궁금하셨던 것 같습니다.
따라서 이번 포스팅에서는 다자유도 축부재 문제를 예시로 하여, 가상변위의 법칙이 어떻게 확장되고, 에너지식 및 평형방정식과 어떤 방식으로 연결되는지까지 차근차근 정리해보겠습니다.
2.단자유도에서 다자유도로의 생각 확장 : 자유도 (δx, δy) 에 따른 가상변위의 법칙

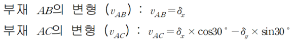
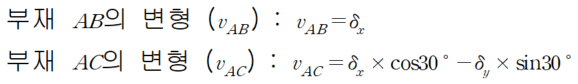
이를 통해 각 부재의 변형을 산정하면 다음과 같습니다.

그리고 이를 행렬식 (Matrix)로 나타내면 다음과 같습니다.

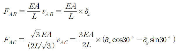
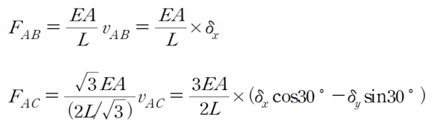
각 부재의 변형을 부재의 강성도와 곱하면 부재력을 산정할 수 있습니다.

그리고 이를 행렬식 (Matrix)로 나타내면 다음과 같습니다.

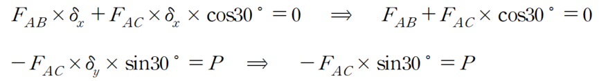
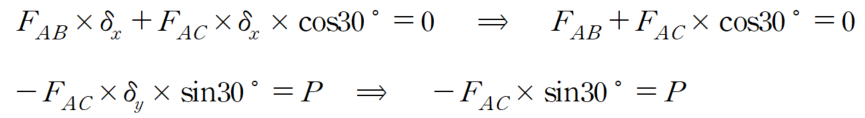
이제 가상변위의 법칙을 적용하겠습니다.
2자유도 구조물이므로 변형도를 통해 각 자유도의 가상변위의 법칙을 적용해야 하므로 식은 2개가 나옵니다.

이를 행렬식으로 나타내면 다음과 같습니다.

이제 행렬식으로 부재력을 표현하였던 식을 대입하면 다음과 같이 나타낼 수 있습니다.

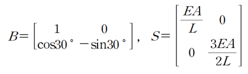
이것을 큰 그림으로 보기 위해 행렬을 정의하도록 하겠습니다.
전체 Global 자유도 (DOF)인 δx, δy 를 부재별 변위 (v)로 연결하는 행렬을 변위적합 매트릭스 B로 정의하고
부재의 강성도를 정의하는 부재강성도 매트릭스 S로 정의하면


즉, 단자유도에서 변위의 제곱으로 표현되었던 부분이 다자유도에서는 행렬 트랜스포즈 곱하기 행렬 꼴로 일반화 되어 표현합니다. 만약 단자유도면 B매트릭스가 1×1 행렬이 될 것이고 이는 변위의 제곱과 일치합니다.
따라서 B transpose S B행렬 곱한 것을 Global Stiffness 행렬 K 로 정의하면, 행렬로서 Global 하중과 Global 변위를 연결 할 수 있습니다.

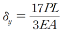
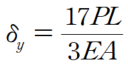
위 문제를 행렬식으로 풀게되면 다음과 같이 풀 수 있습니다.

따라서 답은 아래와 같이 산정됩니다.

3. 매트릭스 변위법의 의의
위의 방식과 같이 매트릭스 행렬식으로 푸는 방법을 매트릭스 변위법이라고 합니다.
보통 5급 기술고시나 기술사 시험을 공부하시는 분들이 공학용계산기를 통해 많이 사용합니다.
손계산을 활용하는 7급, 9급 시험에서는 활용하기 어렵습니다. (손계산으로 행렬 계산하는 것이 시간이 걸립니다.)
보통 많은 사람들은 Kinematic 관계 구축을 힘들어하여 평형방정식으로 A 매트릭스를 산정하여 행렬을 다음과 같이 산정합니다.

보통 유튜브나 기타 타 블로그에서 매트릭스 변위법에 관련된 자료를 보게되면 되면 위와같은 식을 마주치게 될 것입니다.
이와 같은 관계에 대해 많은 사람들이 이해하지 않고 단순암기 후 적용하는 경우가 많으나 이는 Kinematic 관계에서 가상변위의 법칙을 통해 평형방정식을 을 산정해나가는 Storyline을 이해하지 못하는 것입니다.
제가 여러번 포스팅에서 말씀드렸듯이 Kinematic 관계를 통한 가상변위의 법칙은 평형방정식과 결국 동일한 결과를 낳게 됩니다.
따라서 아래와 같은 방식이 산정되는 것입니다.

저는 사람들에게 매트릭스 변위법이라는 명칭 답게 Kinematic 관계를 통해
변위적합 매트릭스인 B 매트릭스를 익히라고 권합니다.
그것을 통해 역학의 Storyline을 이해하고 가상변위 법칙을 이해해야 다른 부분으로 응용이 가능합니다.
또한 종속변위, 자유도에 대한 이해도가 높아질 수 있습니다.
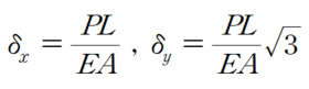
4. 위 문제에 대한 7급, 9급 시험에 맞는 풀이
가상변위의 법칙은 매우 강력하나 자유도가 적고 부정정차수가 높은 구조물을 손계산으로 풀때 그 위력은 강해집니다.
반면 자유도가 많고 정정구조물인 경우에는 가상 변위의 법칙보다는 가상하중의 법칙 (혹은 카스틸리아노 2법칙)이 더욱 효과 적입니다. 가상하중의 법칙은 시중 문제집에서 많이 보이는 것 같아 카스틸리아노 2법칙으로 문제풀이를 진행하겠습니다.


가상 하중의 법칙 혹은 카스틸리아노 2법칙은 응력법 풀이로 분류됩니다.
변위법처럼 모든 자유도에 대한 변위를 구할 수는 없지만, 주어진 하중에 대한 해석은 정확하게 수행할 수 있습니다.
5. 더 재미있는 문제가 되려면 (문제 변형)
하중 P가 수직이 아닌 수평이 되면 어떻게 될까요?
부재 AC가 0부재가 되며 문제는 더 재미있는 문제가 됩니다.
부재 AC의 부재력이 0이 되므로 AC의 부재변위가 0이 되도록 절점 A가 움직이게 됩니다.

따라서 이 경우 0부재라는 조건을 활용하여 기하학적으로 A지점의 수평, 수직 변위를 한번에 쉽게 산정할 수 있습니다.

0부재를 활용하면 더 재미있고 직관적으로 문제가 풀립니다.
기출문제에서도 이와같은 장치들이 종종 활용되는 것을 보실 수 있습니다만,
이와 같은 장치를 활용하여 풀이를 공개한 답안은 인터넷상에 거의 없는 것으로 보입니다.
'구독자의 역학 Q&A' 카테고리의 다른 글
| 2025년 서울시 7급 1번~10번 라이브 풀이 후기 및 안내 (0) | 2026.01.15 |
|---|---|
| 손계산으로 빠르게 처짐 구하는 방법 (10) | 2026.01.14 |
| [무료강의] 2025년 7급 서울시 응용역학 기출 풀이 라이브(1회차) (4) | 2026.01.09 |
| 1월 7일 라이브 강의 후기 및 안내 (13) | 2026.01.07 |
| 무료 온라인 라이브 강의 (2025년 1월 7일) (0) | 2026.01.04 |