
1. 개요
메일을 통해 가끔 구독자분들께서 질문을 보내주십니다.
한정된 시간 속에서 모든 질문에 즉각적으로 답변을 드리지는 못하지만, 그중 다른 분들께도 충분히 도움이 될 수 있겠다고 판단되는 질문은 별도의 포스팅 소재로 선정하여 정리하고 있습니다.
이번에 질의해주신 구독자분께서는 처짐을 빠르고 쉽게 구하는 방법에 대해 고민하고 계셨습니다.
BMD를 그리고 이를 EI로 나눈 뒤 면적과 도심을 구하여 반력, 모멘트, 처짐각, 처짐을 산정하는 기존의 절차가 다소 번거롭고 시간이 많이 걸린다고 느끼셨고,
단계를 최대한 단순화하여 실수를 줄이면서도 빠르고 정확하게 풀이하는 방법을 연구하고 싶다고 말씀해 주셨습니다.
또한 제 블로그를 통해 보다 효율적인 풀이 방식에 대한 인사이트를 얻을 수 있어 기쁘다는 말씀도 함께 전해주셨습니다.
질문의 핵심은 등분포하중이 캔틸레버의 절반 구간에만 작용하는 문제에 대해,
공액보법 외에 중첩법이나 다른 보다 효율적인 접근 방법이 있는지에 대한 것이었습니다.
시중 문제집에서는 이러한 유형을 대부분 공액보법이나 가상하중의 법칙으로만 풀이하고 있어 다소 답답함을 느끼셨다고 합니다.
실제로 가상하중의 법칙으로 해당 문제를 풀 경우, 처짐과 처짐각을 구하기 위해 적분 구간을 나누어야 하고 손계산 과정도 길어져 시험장에서 부담이 될 수 있습니다.
공액보법 역시 포물선 형태의 BMD를 직접 그리고, 그에 대한 면적과 도심 공식을 정확히 기억하고 있어야 한다는 점에서 만만한 방법은 아닙니다.
이에 본 포스팅에서는 단순한 요령이나 꼼수가 아닌,
처짐과 자유도의 개념에 기반하여 자연스럽게 문제를 단순화하는 정석적인 접근 방법을 소개하고자 합니다.
계산을 줄이기 위한 억지스러운 테크닉이 아니라, 구조물의 거동을 정확히 이해했을 때 자연스럽게 도출되는 풀이 방식이라는 점을 강조하며,
제가 그동안 축적해 온 인사이트를 공유드리고자 합니다.
이 글을 읽으시는 분들도 스크롤 다운을 멈추시고 각자 자신만의 방법으로 푸신 후에 저의 풀이랑 비교하시기 바랍니다.
이를 통해 더 많은 인사이트를 익히실 수 있습니다.
2. 문제 풀이
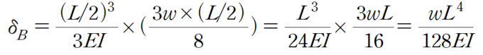
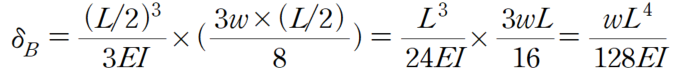
(1) δB의 산정
BC 부분의 모멘트가 0이므로 AB구간만 존재한다고 가정하고 캔틸레버의 자유단 처짐공식에 대입하면 δB는 쉽게 나옵니다.
이와 유사한 유형이 실제 7,9급 문제에서도 출제된 바 있습니다.

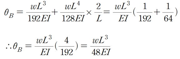
(2) θB의 산정
θB 부터 사람들의 연산 속도가 조금씩 갈리는 부분인것 같습니다.
물론 공식을 암기하신 분들도 계시겠지만 등분포 캔틸레버의 자유단 회전각 공식을 암기하지 않았다고 가정하겠습니다.
휨 유연도 공식과 등가절점하중 개념을 활용하여 수직 처짐이 없을때의 기울기는 다음과 같습니다.

이를 위에서 산정한 δB로 인한 현회전각에 더해줍니다.

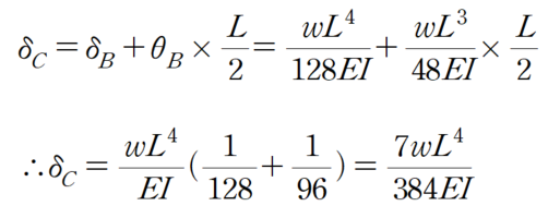
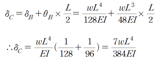
(3) δC의 산정
구간 BC는 모멘트가 0이기 때문에 다음과 같은 관계식이 성립합니다.

3. 마무리하며
처짐을 구하는 방법은 여러 가지가 있지만, 접근 방법을 지나치게 제한하고 구조물을 바라보는 시각이 좁아지면 처짐 문제에 대해 비효율적으로 대응할 수밖에 없습니다.
일부 수험생들은 처짐 문제에 대비하기 위해 다양한 경우의 처짐 공식을 암기하려고 하지만, 실제로는 그럴 필요가 없습니다.
등가절점하중에 대한 개념과
기본 구조물(단순보, 캔틸레버)의 처짐 공식,
그리고 보의 유연도와 처짐각 공식 정도만 정확히 이해하고 있어도,
위와 같은 문제는 한 줄 정도의 사고 흐름으로 매우 빠르게 처짐을 구할 수 있습니다.
핵심은 공식을 많이 외우는 것이 아니라, 구조물을 입체적으로 바라보는 관점입니다.
이러한 관점이 부족하면 처짐 문제가 나올 때마다 “시간이 오래 걸리는 문제”로 분류하게 되고, 결국 실전에서는 낮은 정답률로 이어질 수밖에 없습니다.
위의 사례는 이러한 차이를 보여주는 대표적인 예시입니다.
처짐 문제를 단순 계산 문제가 아닌, 남들과 차별화할 수 있는 무기로 만들어
짧은 시간 안에 높은 정답률로 답안을 도출해내는 연습을 해보시기 바랍니다.
이러한 전략은 공무원 시험뿐만 아니라 공기업 필기시험에서도 충분히 유용하게 활용될 수 있습니다.
'구독자의 역학 Q&A' 카테고리의 다른 글
| [무료강의] 2025년 7급 서울시 응용역학 기출 풀이 라이브(2회차) (0) | 2026.01.15 |
|---|---|
| 2025년 서울시 7급 1번~10번 라이브 풀이 후기 및 안내 (0) | 2026.01.15 |
| 가상변위의 법칙과 축부재 처짐 문제의 깊은 이해 (구독자 질문) (1) | 2026.01.11 |
| [무료강의] 2025년 7급 서울시 응용역학 기출 풀이 라이브(1회차) (4) | 2026.01.09 |
| 1월 7일 라이브 강의 후기 및 안내 (13) | 2026.01.07 |