
1. 개요
이 문제는 전형적인 좌굴문제입니다.
여기서 압축 하중은 온도 변화로 인한 내력으로 작용합니다.
문제에서 주어진 조건을 보면,
B 지점의 지지 상태가 단순히 “이동 지점으로 지지된다”라고만 표현되어 있습니다.
이 표현은 읽을때 지점 이라는 단어에 집중하면 안됩니다
구조물의 자유도(Degree of Freedom) 관점에서 어떻게 해석해야 할지 명확히 판단해야 합니다.
1) ‘지점’이라는 단어에 집중할 때
단어 그대로 해석하면 많은 분들이
고정단–고정단(Fixed–Fixed) 혹은 고정단–고정 롤러(Fixed–Fixed Roller) 조건만을 떠올릴 수 있습니다.
그러나 문제의 표현에는 “이동” 이라는 단서가 있습니다.
즉, 수평 변위(Sway 변위) 가 허용된다는 뜻이므로,
고정단–고정단(Fixed–Fixed) 조건은 제외되어야 합니다.
그렇다면 남는 것은 Fixed–Fixed Roller 조건일까요?

결론부터 말씀드리면, 그것도 아닙니다.
2) 자유도 관점에서의 해석
이제 단순한 “지점”이라는 단어 대신,
자유도(Degree of Freedom) 의 관점에서 접근해 보겠습니다.
문제에서 “회전(rotation)이 구속된다” 는 구체적인 언급이 없습니다.
따라서 B 지점은 회전(rotation) 과 수평 이동(sway) 이 모두 허용됩니다.
그렇다면 이러한 조건은 어떤 지점에 해당할까요?
정답은 바로 자유단(Free End) 입니다.
즉,
- 회전이 가능하고
- 이동도 가능하며
이 두 조건이 모두 만족되므로,
B 지점은 구조적으로 자유단과 동일한 역할을 하게 됩니다.

2. 문제 풀이
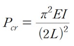
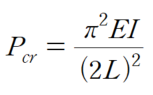
자유단의 유효좌굴 길이는 2L이므로 좌굴하중은 다음과 같이 표현할 수 있습니다.

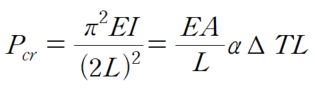
이는 축변형으로 인한 압축하중과 동일하므로 다음과 같이 서술할 수 있습니다.

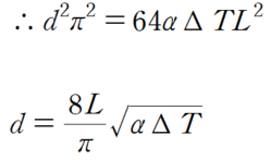
단면적이 지름 d인 원형 단면적 이므로

따라서 다음과 같이 풀이할 수 있습니다.

따라서 답은 ③번 입니다.
3. 마무리하며
좌굴 문제에서 지점 조건(boundary condition) 은 매우 중요합니다.
구속이 많아질수록 부재의 변형이 제한되기 때문에,
좌굴하중은 그만큼 크게 증가합니다.
반대로, 하나의 경계조건을 잘못 해석하는 경우,
좌굴 형태(모드)뿐만 아니라 임계하중의 크기 자체가 완전히 달라질 수 있습니다.
따라서 문제를 해석할 때에는 특히 수평 이동(Sway) 과 회전(Rotation) 에 대한
지점의 구속 여부를 세심하게 확인하셔야 합니다.
이 두 조건의 차이만으로도 좌굴 거동은 전혀 다른 결과를 보이게 됩니다.
'재미있는 문제- 쉬운풀이 > 좌굴 문제' 카테고리의 다른 글
| 2014년 5급 공채 재료역학 4번 문제 (기술고시 문제로 확장) (2) | 2026.02.10 |
|---|---|
| 2018년 1차 서울시 7급 14번 (5) | 2026.02.01 |
| 2015년 국가직 7급 16번 문제 (강체 좌굴) (6) | 2025.12.12 |
| 2024년 9급 지방직 응용역학개론 18번(좌굴 mode에 대한 이론) (2) | 2025.11.24 |
| 2015년 7급 서울시 응용역학 4번 (강체 좌굴, 힘의 평형과 가상 변위의 법칙) (0) | 2025.11.20 |