
1. 개요 (A점 처짐 산정에 대하여)
색다른 관점을 통해 손계산으로 비교적 빠르게 처짐을 산정하는 방법에 대해
흥미를 갖고 계신 한 구독자분께서 질문을 주셨습니다.
질문의 핵심은 다음과 같습니다.
“위 문항에서 지점 A의 처짐을 빠르고 효율적으로 구할 수 있는 방법이 있는가?”
해당 문항은 2023년 군무원 5급 시험에서도 출제된 바 있으며, (문제 13)
당시에는 보기가 약간 달랐던 것으로 기억합니다.
여기서 하나 질문을 드려보고 싶습니다.
여러분들은 ①번 보기가 왜 말이 안 되는지, 개념적으로 간단하게 설명하실 수 있으신가요?
문제에서 B점의 처짐이 w0L/(2k)라고 주어졌을 때, A점의 처짐이 B점과 동일하게 나온다는 상황은
오직 하나의 경우에만 가능합니다.
바로 보 AB의 휨강성 EI가 무한대, 즉 AB가 강체일 때입니다.
이를 자유도 관점에서 보면 더욱 명확해집니다.
보 AB가 강체가 아닌 이상, A와 B의 수직변위는 각각 독립적인 자유도를 가지게 됩니다.
따라서 두 지점의 처짐값이 같아질 이유가 없습니다.
또한 이를 휨 변형 관점에서 보면,
A점의 수직처짐은 단순히 B점의 처짐이 아니라
B점의 처짐 + 보 AB의 휨에 의한 추가 처짐
으로 구성되어야 합니다.
하지만 문제에서는 AB의 휨강성이 무한대라거나, AB가 강체라는 조건이 전혀 주어지지 않았습니다.
따라서 보기 ①은 물리적으로 성립할 수 없는 선택지가 됩니다.
그렇다면 여기서 다음 질문이 자연스럽게 이어집니다.
“A점의 처짐을 빠르고 단순하게 구하고 싶다면,
어떻게 접근해야 할까요?”
일반적으로 떠올리는 방식은
하중 w를 적분하고 또 적분하여
모멘트를 구하고, 처짐 방정식을 세우는 방법일 것입니다.
하지만 이 경우 모멘트는 3차식, 처짐은 5차식이 됩니다.
과연 이런 문제를 손계산으로 시험장에서 풀 수 있을까요?
현실적으로 매우 부담스럽습니다.
이럴 때 손계산이 가능하도록 사용할 수 있는 개념이 바로
등가절점하중(Equivalent Nodal Load) 입니다.
복잡한 분포하중과 연속체 해석을
절점에 작용하는 하중 문제로 치환함으로써,
A점 처짐을 어떻게 단순화할 수 있는지 살펴보겠습니다.
2. 등가 절점하중으로의 치환
FEM 공식 유도 및 응용 (Ⅱ)
https://oreostructure.com/130 FEM 공식 유도 및 응용 (Ⅰ)안녕하세요. 오레오 구조입니다.이번 포스팅에서는 필수적으로 알아두어야 할 FEM(Fixed End Moment) 공식 몇 가지를 직접 유도해 보고,이를 실제 문제
oreostructure.com
이전 포스팅에서 다루었던 FEM을 통해 아래와 같이 등가 절점하중을 산정할 수 있습니다.
이전 처짐 관련 포스팅에서 많이 다루었던 것 처럼
등가절점하중은 절점의 처짐을 동일하게 만들어주는 하중으로 정의합니다.

이제 복잡한 등분포하중이 작용하는 문제가 아니라 절점에 집중하중만 작용하는 단순한 문제로 치환하였습니다.
3.단순화된 구조물의 처짐산정

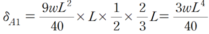
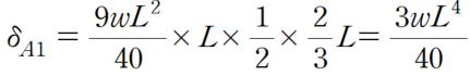
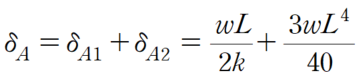
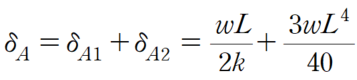
보 AB의 BMD를 통해 A점의 B점에 대한 상대적 처짐을 구할 수 있습니다. 이를 δA1이라 하면 (나누기 EI가 빠졌습니다. 참고하세요.)

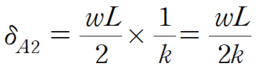
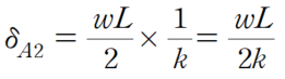
한편 스프링에 걸리는 힘에 의한 처짐을 더해줘야 합니다. 이를 δA2이라 하면

따라서 A점의 총 처짐은 다음과 같습니다. (3wL^4/40EI 입니다.)

3. 마무리하며
일반적으로 시중 교재나 응용역학 강사들의 풀이는 이중적분법, 가상하중의 법칙, 카스틸리아노 제2정리에 머무르는 경우가 많고,
등가절점하중(Equivalent Nodal Load) 개념을 활용한 풀이는 대부분의 수험생들이 거의 접하지 못하는 것이 현실입니다.
하지만 이는 어쩌면 당연한 결과라고도 볼 수 있습니다.
공무원 시험 자체가 기본적으로 학부 수준의 커리큘럼을 기반으로 출제되기 때문에,
교재를 집필하는 사람이나 강의를 하는 사람 역시 그 범위에 충실할 수밖에 없기 때문입니다.
사실 등가절점하중이라는 개념은 본래 전산화된 구조해석 프로그램을 구축하기 위해 등장한 개념입니다.
컴퓨터에게 “전 구간을 적분하라”고 지시하는 것은 연산 효율 측면에서 매우 비합리적인 접근입니다.
반면, 부재 내부에 작용하는 분포하중을 처짐 효과가 동일한 등가절점하중으로 치환하게 되면,
컴퓨터는 이를 이용해 절점 단위로 변위를 계산하고
구조물 전체의 거동과 안정성을 훨씬 효율적으로 평가할 수 있습니다.
이런 배경을 생각해보면, 등가절점하중은 어찌 보면 학부 과정을 넘어서는 개념일 수 있고,
처음 접하는 분들께서는 혼란을 느끼는 것도 충분히 이해됩니다.
다만 저는 기출문제를 분석하는 과정에서 이 개념이 공무원·공기업 응용역학 문제를 푸는 데 매우 효율적이라는
사실을 체감하게 되었고, 그래서 그동안의 기출풀이와 포스팅에서 일관되게 이 개념을 반복적으로 활용해 왔습니다.
이미 여러 글에서 사용해 온 개념이니, 처음부터 완벽히 이해하려 하기보다는
차근차근 따라오시면서 익숙해지시면 충분합니다.
저는 이 방법을 통해 남들과는 다른 시야로 문제를 바라보고,
보다 빠르고 정확하게 답을 도출할 수 있었으며, 그 경험을 바탕으로 이러한 풀이를 공유하고 있습니다.
참고로, 제 공학용 계산기가 고장 나 있는 상태라 위 과정을 별도의 복잡한 도구로 재검증하지는 않았습니다.
하지만 겉보기에는 복잡해 보일지라도 실제로는 몇 줄의 풀이로 정리되는 수준이기 때문에,
높은 확률로 오류가 없다고 확신합니다.
여러분들도 이러한 도구와 관점을 하나씩 익혀서 남들보다 2~3문제를 더 빠르고 정확하게 풀고,
그 차이로 득점하고 합격하시길 바랍니다.
응용역학은 계산 싸움이 아니라, 관점과 전략의 싸움입니다.
'구독자의 역학 Q&A' 카테고리의 다른 글
| [무료강의] 처짐각법 강의, 휨부재의 변위법 접근 (6) | 2026.01.28 |
|---|---|
| 2025년 서울시 7급 11번~20번 라이브 풀이 후기 및 안내 (1) | 2026.01.22 |
| 강체가 있는 단순보의 처짐 (구독자 질의) (12) | 2026.01.17 |
| [무료강의] 2025년 7급 서울시 응용역학 기출 풀이 라이브(2회차) (0) | 2026.01.15 |
| 2025년 서울시 7급 1번~10번 라이브 풀이 후기 및 안내 (0) | 2026.01.15 |