
1.개요
캔틸레버의 자유단에서 집중하중이 발생하였을때 처짐과 회전각의 관계에 대해 암기하고 계시는 분들이 많을 것이라 생각합니다.

해당 공식을 보고 있으면 처짐과 처짐각 사이에 흥미로운 관계가 있음을 알 수 있습니다.

위와같은 관계는 기본공식을 자주 활용하고 연습하던 분들은 쉽게 확인할 수 있는 사실입니다.
제가 출제한 모의고사 2회차의 12번 문제는 이와 같은 관계를 활용할 수 있는지에 대해 묻는 질문이었습니다.
이제 문제를 풀어보겠습니다.
2. 문제 풀이 (실전용)

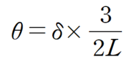
위의 관계를 살펴보면 자유단(모멘트가 0이며 수직 처짐이 존재)하는 곳에서의 회전각은 처짐량에 비례하며 부재 길이에 반비례함을 알 수 있습니다.
구조물이 B점의 수직처짐 (δ)이 동일하기 때문에 회전각 θ는 부재의 길이 L에 반비례하게 됩니다.

따라서 문제의 답은 ④번이 되며 매우 쉽게 풀립니다.
그렇다면 회전각과 처짐은 왜 저렇게 흥미로운 관계가 성립하게 될까요? 조금 더 직관적으로 파악 할 수 있는 방법이 있을까요?
확실한 직관을 얻기 위해 처짐각법 공식을 살펴볼 필요가 있습니다.
3.처짐각법에서 확인 할 수 있는 캔틸레버의 특징
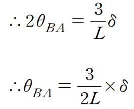
캔틸레버의 자유단 지점 (B)에서의 처짐각식을 써보고 경계조건을 고려해보면 꽤나 직관적으로 알 수 있습니다.
자유단에서의 모멘트가 0이며 고정단에서의 회전각이 0이다라는 조건을 적용해보면 다음과 같은 공식을 유도 할 수 있습니다.


4. 문제풀이 (병렬연결 이용)
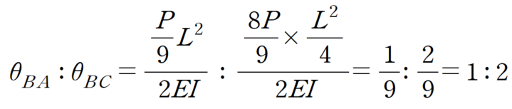
기본식에서의 관계를 활용하지 않더라도 병렬연결을 활용하여 문제를 풀 수 있습니다.
이 역시도 훌륭한 문제풀이이지만 문제풀이가 살짝 더 복잡해지긴 합니다.
자유단에서의 처짐을 통해 강성도를 확인할 수 있으며 병렬연결시 하중은 강성도의 비율만큼 나눠갖게 됩니다.

따라서 회전각 공식에 대입하게 되면 다음과 같이 답을 구할 수 있습니다.

5. 마무리하며
제가 출제한 모의고사는 겉보기에는 다소 복잡해 보일 수 있지만,
관점을 조금만 바꾸면 충분히 쉽게 접근할 수 있도록 심사숙고하여 구성하였습니다.
단순히 연산이 어렵거나 계산량이 많아지는 문제는 지양하였고,
기출문제에서 반복적으로 사용되는 핵심 풀이 장치들을 자연스럽게 녹여내는 방향으로 출제하였습니다.
이번 포스팅은 구독자분들께서 질의해주셨고,
오답률이 예상보다 높게 나온 문제를 중심으로 정리해보았습니다.
관점을 바꾸는 것이 핵심입니다
응용역학은 종종
한 걸음만 뒤로 물러나 다른 관점에서 바라보면 매우 쉽게 풀리는 과목입니다.
특히 국가직 9급 시험장에서
- 계산이 복잡해지거나
- 풀이 시간이 과도하게 길어지는 문제를 마주했을 때
이를 정면으로 밀어붙이기보다는,
과감히 넘어간 뒤, 다른 관점으로 다시 접근해보는 전략도 매우 중요합니다.
실제로 많은 문제들이 이러한 관점 전환을 통해 최소한의 연산으로 해결되는 구조를 가지고 있습니다.
최근 몇몇 분들께 응용역학 강의를 진행하면서
포스팅이 다소 뜸해진 점에 대해, 블로그를 꾸준히 방문해주시는 분들께 조금은 죄송한 마음이 있습니다.
하지만 유료 강의와는 별개로,
구독자분들과 애독자분들께 도움이 되는 고품질 포스팅을 꾸준히 이어가는 것
역시 매우 중요하게 생각하고 있습니다.
앞으로도
- 기출문제 기반 풀이
- 실전에서 활용 가능한 접근 방법
- 계산을 줄이는 사고 방식
을 중심으로 지속적으로 정리해보겠습니다.
'구독자의 역학 Q&A' 카테고리의 다른 글
| 문제를 보는 눈을 바꿔드립니다 (7급·9급 응용역학 과외) (0) | 2026.03.31 |
|---|---|
| 9급 응용역학개론 모의고사 2회 공개 및 수업 후기 (0) | 2026.03.28 |
| 9급 응용역학 1회 모의고사 해설 안내 (금일 오후 8시 30분) (1) | 2026.03.23 |
| 9급 응용역학개론 모의고사 1회 공개 및 수업 후기 (0) | 2026.03.21 |
| 9급 응용역학개론시험 대비 무료 모의고사 안내 (3월 21일 / 3월 28일) (20) | 2026.03.17 |