
이번 문제는 세 가지 방법으로 접근해 보겠습니다.
① 최소일의 원리
② 처짐각법
③ 모멘트 면적법
세 방법 모두 손계산으로 충분히 풀 수 있는 수준이며,
개인적으로는 이 문제에 대해서는 최소일의 원리가 가장 간단하다고 판단합니다.
하지만 어떤 분은 모멘트 면적법이 더 직관적이라고 생각하실 수도 있겠죠.
즉, 어느 방법이 더 편한지는 다소 주관적인 부분이 있다고 봅니다.
또한, 본 문제에서는 EI가 무한대인 구간을 어떻게 다루는가에 대한
변위법 관점의 접근도 함께 생각해 보시면 좋겠습니다.
이 포스팅이 그 점에서 이해를 확장하는 계기가 되었으면 합니다.
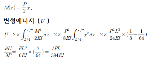
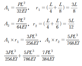
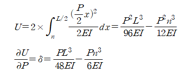
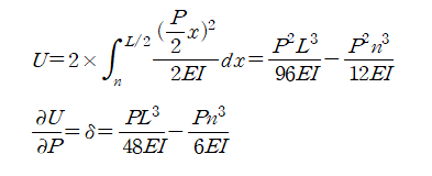
1. 최소일의 원리


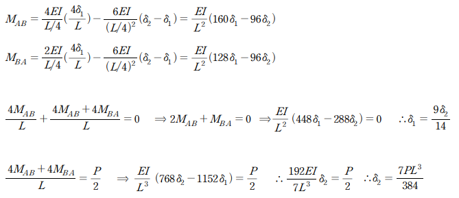
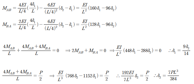
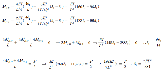
2. 처짐각법
강체부(EI가 무한대인 구간)가 δ₁만큼 변위가 생기면, 그 회전각이 곧 EI가 유한한 구간이 시작되는 지점의 초기 기울기 조건이 됩니다.


3.모멘트 면적법
BMD는 다음과 같습니다.

따라서 M/EI를 그려보면


**참고 : EI 무한대 구간이 0부터 n이라고 하였을 때 일반식 유도
사실 일반식을 유도하고 외우는것은 매우 불필요합니다.
최소일로 금방 유도되기 때문입니다,


4. 마무리 하며
7급 공무원 시험처럼 손계산이 요구되는 시험에서는
모든 문제에 통하는 ‘만능 풀이법’은 존재하지 않습니다.
공학용 계산기에 의존하면 최소일의 원리로도 상당히 많은 문제를 풀 수 있지만,
실제 시험에서는 그렇게 접근하기 어렵습니다.
결국 시간 절약과 멘탈 관리가 핵심입니다.
계산량이 많고 연산이 복잡한 방법은,
시험장에서 오히려 좋지 않은 전략이 될 수 있습니다.
공부할 때는 응력법과 변위법 두 관점을 모두 익혀야 합니다.
구조물이 정정인지 부정정인지,
자유도 수와 강체 구간의 존재 여부에 따라
자신에게 가장 효율적인 해석 방법이 무엇인지
미리 정립해 두는 것이 중요합니다.
'재미있는 문제- 쉬운풀이' 카테고리의 다른 글
2017년 응용역학 가형 20번 (0) | 2025.10.21 |
---|