
1. 개요
오늘 풀어볼 문제는 전단변형률(γ) 을 묻는 매우 기초적이지만,
기출에서 자주 등장하는 중요한 유형입니다.
특히 판요소의 비선형 전단 변형을 단순화하여 표현해 놓은 문제이므로
공식만 적용하면 쉽게 풀립니다.
그 전에 미소요소 dx, dy를 통해 정의된 전단변형률의 정의에 대해 살펴봅시다.
2. 개념설명 : 전단 변형률 (전단변형률 텐서, 공학전 전단변형률)
전단변형률 텐서(Shear Strain Tensor) 와
공학적 전단변형률(Engineering Shear Strain) 의 개념을 함께 설명드리는 이유는 명확합니다.
변형률을 좌표축에 따라 변환하거나,
모어의 변형률 원(Mohr’s Circle for Strain) 을 활용할 때 사용하는 전단변형률은
항상 텐서 전단변형률(εₓᵧ) 입니다.
7급·9급 공무원 시험, 공기업, 기사, 군무원 등 일반적인 응용역학 문제에서“전단변형률 γ는?”
이라고 물으면 이는 공학적 전단변형률 (γₓᵧ) 을 의미합니다.
- 좌표변환, 모어원, 변형률 텐서 → 텐서 전단변형률 사용
- 보통 시험 문제 → 공학적 전단변형률 사용
그림을 통해 이 둘의 관계를 표현해 보겠습니다.

좌표축 기준으로 변위장을 u(x,y),v(x,y) 라고 하면
텐서 전단변형률은 서로 기울어지는 각도 변화의 평균값으로 정의됩니다.
반면, 공학적 전단병형률은 두 각도의 합으로 정의됩니다.
(참고) 모어원에서는 텐서 전단 변형률을 활용하기 때문에 y축값은 (공학적)전단변형률의 절반이 됩니다.
3. 문제풀이

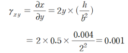
문제에서 물어보는 전단변형률은 공학적 전단변형률에 해당하며 일반적으로 다음과 같이 정의됩니다.

문제에 따르면 y축에 따른 변위는 다음과 같이 정의되어 있습니다.

따라서 해당 문제에서 전단변형률은 다음과 같이 산정됩니다.

4. 마무리 하며
이 문제는 난이도 자체는 낮지만,
“전단변형률 = 기울기(gradient)” 라는 가장 기본 개념을 정확히 알고 있어야
시험장에서 실수 없이 풀 수 있습니다.
또한 전단변형률 텐서와 공학적 전단변형률의 개념설명을 통해 한층 더 깊은 지식을 전달드리고 싶었습니다.
'재미있는 문제- 쉬운풀이 > 응력 변형률' 카테고리의 다른 글
| 25년 9급 국가직 응용역학 개론 8번 - 수학 없는 변형률 게이지 접근법 (0) | 2025.10.29 |
|---|