

1.개요
예전에 Linear Elasticity Theory에서 Strain Tensor에 대해 배운 적이 있습니다. 임의의 변위(displacement)와 변형률(strain) 사이의 관계를 정립하기 위해 Strain Tensor를 도입하고, 이후 Stress Tensor와의 관계를 설정한 뒤 Generalized Hooke’s Law로 확장해 나가는 것이 핵심적인 이론입니다. 다만 국내 주요 학부 과정에서는, 제가 알기로 건축·토목 분야에서는 깊이 있게 다루지 않는 경우가 많고, 주로 기계공학 분야에서 더 비중 있게 다루는 것으로 알고 있습니다.
그런 점에서 토목 5급 공채 선택과목이나 건축 5급 공채 필수과목인 구조역학에서 이와 관련된 문제가 출제된 것은 개인적으로 다소 의외이면서도 흥미롭게 느껴졌습니다. 최근 7급 응용역학 모의고사를 제작하면서 구조기술사나 5급 공채 문제에서 아이디어를 얻어 이를 단순화하는 작업을 하고 있는데, 이 문제 역시 그러한 맥락에서 접하게 되어 반가운 한편 신선하게 느껴졌습니다.
문제 자체는 계산적으로 매우 단순한 편입니다. 거기에 Strain-Displacement 관계가 주어졌습니다.
이는 출제하신 교수님의 배려가 들어간 장치라고 판단됩니다.
다만 그 바탕이 되는 이론은 해외 기준으로 보면 advanced mechanics of materials 수준에서 다뤄질 법한 내용입니다. 특히 문제에서 미소요소 대신 소성영역 전체를 제시한 것은, 해당 영역 내 변위가 선형적으로 분포한다고 가정하도록 유도하는 장치라고 볼 수 있습니다.
또한 이러한 선형 관계를 설정할 수 있도록, 경계조건이 꼭지점의 변위 형태로 주어져 있다는 점도 중요한 포인트입니다.
2.문제 풀이
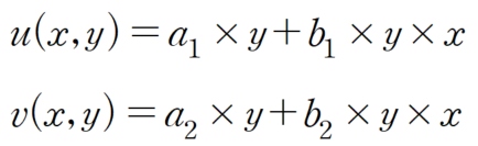
(1) x,y 좌표축에서 변위의 장 산정 : u(x,y), v(x,y)
x축, y축에 따른 변위 u와 v는 모두 x,y에 대한 함수로 나타낼 수 있습니다.
그림에 제시된 좌표축의 원점과 단면하단은 고정단으로 변위가 구속되어 있기 때문에
u(x,y)와 v(x,y)는 다음과 같이 서술할 수 있습니다.

A점과 B점에서의 Boundary Condition을 대입하면 다음과 같이 서술 할 수 있습니다.
① u(x,y)

따라서 u(x,y)는 다음과 같습니다.

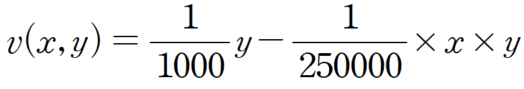
② v(x,y)


따라서 v(x,y)는 다음과 같습니다.

※ 산정된 u(x,y)와 v(x,y)는 4 꼭지점의 모든 Boundary Condition을 만족합니다,
(2) 문제 3-1 해답 : 평균 축변형률 (εx, εy) 와 전단변형률 (γxy) 산정
주어진 Strain, Displacement 관계를 활용하면 다음과 같이 산정됩니다.

이를 통해 임의의 x,y 에 위치해있는 dx,dy로 구성된 미소요소의 축변형률과 전단변형률을 모두 산정할 수 있습니다.
문제에서는 평균 축변형률과 평균 전단변형률을 산정하라고 하였으므로
x와 y값에 각각 0과 lp/2를 대입하면 됩니다. (소성영역의 정 가운데 지점)

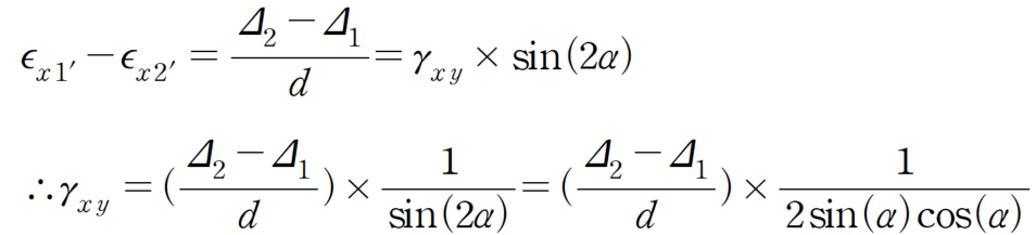
(2) 문제 3-2 : 대각선 방향 변위계
εx, εy, Υxy를 통해 대각선 방향의 변형률을 산정할 수 있습니다.
좌측 하단 고정점에서 B까지 이어지는 대각선이 x축과 이루는 각도를 α라고 하고, 소성영역의 대각선 길이를 d라고 할 때,

마찬가지로 우측 하단 고정점에서 A까지 이어지는 대각선이 x축과 이루는 각도는 -α가 되며,

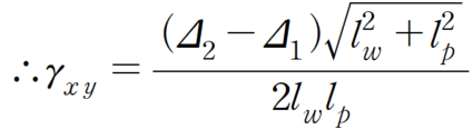
따라서 위의 두 식을 차감하게 되면

따라서 아래의 값을 대입하게 되면,


3.마무리하며
어려운 문제는 아니지만, 처음 접하면 다소 당황할 수 있는 유형이라고 생각합니다. 결국 핵심은 변위(displacement)와 변형률(strain)의 정의를 정확히 이해하고 있는지에 있습니다.
저의 경우 Linear Elasticity Theory에서 유사한 문제를 접한 경험이 있어 변위장을 선형 관계로 가정하여 식을 세워 풀이를 진행했지만, 반드시 이러한 방식으로 접근할 필요는 없습니다. 좌측과 우측에서의 변형률, 그리고 상단과 하단에서의 변형률을 각각 구한 뒤 이를 평균하는 방식으로 접근하더라도 동일한 결과를 얻을 수 있습니다.
실제로 7급 시험에서도 미소요소가 아닌 특정 영역을 제시하고 Displacement–Strain 관계를 묻는 문제가 출제된 바 있습니다. 대표적으로 2015년 서울시 7급 응용역학 6번 문제가 이에 해당합니다. 하단에 관련 문제 링크를 첨부해 두었으니 함께 비교하며 학습하시면 이해에 도움이 될 것입니다.
2015년 7급 서울시 응용역학 6번 (전단 변형률의 기본 정의에 충실하자)
1. 개요오늘 풀어볼 문제는 전단변형률(γ) 을 묻는 매우 기초적이지만,기출에서 자주 등장하는 중요한 유형입니다.특히 판요소의 비선형 전단 변형을 단순화하여 표현해 놓은 문제이므로공식만
oreostructure.com
'재미있는 문제- 쉬운풀이 > 응력 변형률' 카테고리의 다른 글
| 비대칭단면 전단 중심에 대해 (2009년 5급 구조역학 2번 문항) (1) | 2026.04.14 |
|---|---|
| 2015년 7급 서울시 응용역학 6번 (전단 변형률의 기본 정의에 충실하자) (0) | 2025.11.21 |
| 25년 9급 국가직 응용역학 개론 8번 - 수학 없는 변형률 게이지 접근법 (0) | 2025.10.29 |