
1. 개요
일반적으로 분포하중이 작용하는 보에서 최대 휨모멘트를 찾고자 할 때는
휨모멘트 식 M(x) 을 미분하여 0이 되는 지점을 찾습니다.
한편 휨모멘트와 전단력은 다음과 같은 관계를 갖습니다.

따라서 “전단력이 0이 되는 지점 = 휨모멘트가 최대(또는 최소)가 되는 지점”입니다.
시험에서도 최대모멘트를 묻는다면 자연스럽게 전단력이 0인 위치를 찾는 흐름으로 접근하게 됩니다.
이번 문제에서는 출제자가 이러한 과정을 쉽게 하라고
전단력도(Shear Force Diagram, SFD) 를 직접 제시했습니다.
덕분에 반력을 따로 계산할 필요 없이,
SFD에서 지점에 해당하는 값을 그대로 읽어 반력을 바로 구할 수 있습니다.
이 부분에서 출제자의 배려가 느껴집니다.
그렇다면 등분포하중 은 어떻게 찾아낼 수 있을까요?
전단력도에서 분포하중은
전단력의 위치에 따른 변화율에 해당하므로

즉, SFD의 기울기(미분값) 이 바로 분포하중입니다.
따라서 SFD의 기울기를 보면
그 구간에 작용하는 등분포하중의 크기와 방향을 쉽게 파악할 수 있습니다.
이와 같이 SFD가 주어졌다면
반력 → 분포하중 → 최대모멘트 위치까지
모든 과정이 굉장히 간단해지기 때문에
실제 시험에서 큰 시간을 절약할 수 있습니다.
2. 문제풀이
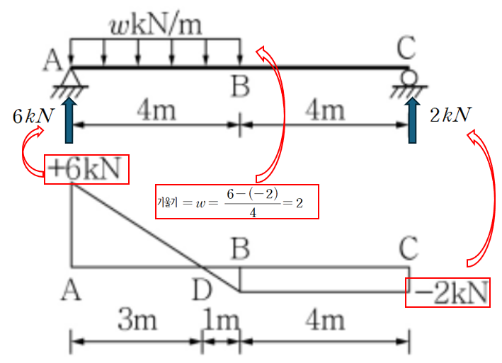
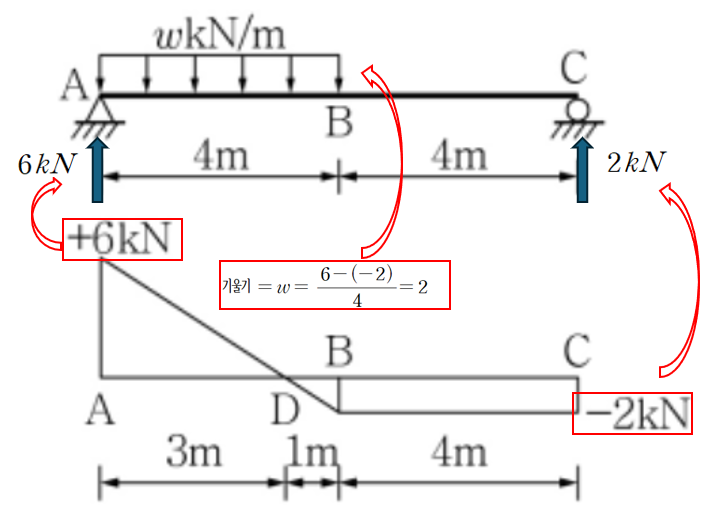
위에서 서술한 바와 같이 SFD를 통해 얻을 수 있는 정보는 아래의 그림과 같습니다.

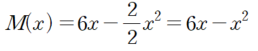
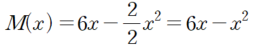
따등분포 구간 AB에서 최대모멘트 (x=3 일때) 발생하며, 해당 구간의 모멘트 식을 산정하면 다음과 같습니다.

따라서 최대 모멘트는 다음과 같습니다.

3. 마무리 하며
이번 문항은 난이도 자체는 매우 쉬운 편이지만,
이런 문제일수록 기본기를 놓치지 않는 것이 무엇보다 중요하다고 생각합니다.
의외로 많은 분들이 전단력도(SFD)를 보고도
“여기에서 어떤 정보를 읽어낼 수 있을까?”라는 관점을 간과한 채
습관적으로 평형방정식만으로 풀어가려 합니다.
물론 평형방정식으로도 충분히 풀 수 있지만,
그 방식은 말 그대로 직선로를 버리고 우회로를 택하는것 과 같습니다.
SFD를 제시한 상황에서는 오히려 가장 비효율적인 접근이라고 볼 수 있습니다.
출제자가 SFD를 굳이 그려서 제공했다는 것은,
“전단력도를 그릴 줄 아는 사람이라면,
전단력–하중–모멘트의 관계를 이해하고 있을 것이다”
라는 메시지를 담고 있다고 해석할 수 있습니다.
즉, SFD만 제대로 읽을 줄 알아도
반력, 분포하중, 최대모멘트의 위치까지
모든 정보가 한 번에 해결된다는 사실을 알고 있는지 확인하는 문제였습니다.
이런 기본적인 해석 도구를 적극적으로 활용하는 습관이
실전 시간 단축과 정답률 상승에 큰 도움이 됩니다.
'재미있는 문제- 쉬운풀이 > 정정보의 전단력, 모멘트, 응력' 카테고리의 다른 글
| 2015년 7급 서울시 응용역학 1번 (전형적 순수 모멘트 유도 방식) (0) | 2025.11.17 |
|---|