
1. 개요
이번 문제는 대칭 조건을 갖는 3차 부정정 프레임 구조물의 수평반력을 구하는 문제입니다.
이전에 프레임(Frame) 구조물에 대해 다양한 해석 방법들을 여러 차례 소개해 드린 바 있기 때문에,
제 블로그를 꾸준히 보아 오신 분들이라면 프레임 구조물에 대해서는 어느 정도 자신감이 생기셨을 것이라 생각합니다.
‘3차 부정정’이라는 표현만 보면 난이도가 높아 보일 수 있지만,
이번 문제는 오히려 대칭 조건을 적극적으로 활용할 수 있는 전형적인 유형입니다.
따라서 복잡하게 접근하기보다는,
- 구조물의 대칭성을 최대한 이용하고
- Fixed Roller 지점이 존재할 때의 수정된 강성도를 적절히 적용한다면
연산을 크게 줄이면서 빠르고 깔끔하게 문제를 풀 수 있습니다.
이번 풀이에서는 이러한 관점에서,
대칭을 활용한 사고 흐름과 수정된 강성도를 이용한 효율적인 접근 방법을 중심으로
문제를 정리해 보도록 하겠습니다.
이번에는 이전의 회전스프링 방식과 처짐각법까지 소개하여 독자 여러분이 쉽게 활용할 수 있는 풀이를 더 추가하겠습니다.
2.문제풀이 방법 (Ⅰ)
https://oreostructure.tistory.com/100
이전에 썼던 풀이와 동일한 Flow대로 풀도록 하겠습니다.
① FEM 산정

② 보부재 BC 대칭축 따라 (절반부분) Fixed Roller 모델링 및 수정된 강성도로 회전 스프링 치환

③ 등가절점하중 : 회전에 대한 병렬 연결 해석



이로서 기둥 AB에서 B 절점의 모멘트가 산정되었습니다.
** 참고로 스프링의 부재력은 병렬연결된 부재력에 FEM을 더해줘야 합니다.

이로서 절점 B에서 모멘트 평형까지 확인하였습니다.
④ A 지점에서 수평 반력 산정
이는 기둥 AB에서 모멘트평형식을 세우면 쉽게 산정할 수 있습니다.

따라서 답은 ①번으로 확인할 수 있습니다.
3.문제풀이 방법 (Ⅱ : 수정된 강성도 + 처짐각법)
수정된 강성도 법을 Fixed Roller에 적용시, Fixed Roller의 수직처짐은 고려대상이 아닙니다.
(**주의 : Fixed Roller에 수직 처짐이 없는 것이 아니라 관심에서 제외하는 것 뿐)
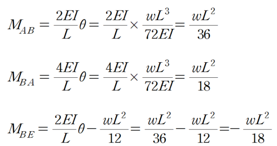
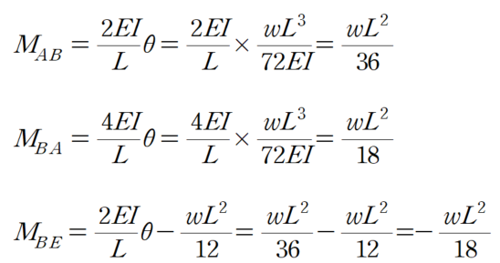
따라서 B에서의 각도 θ 에 대해 부재력을 표현할 수 있으며 단자유도 구조물로 치환하여 해석 할 수 있는 장점이 있습니다.

따라서 각 절점의 부재력은 다음과 같이 서술 할 수 있습니다.

B절점에서 평형방정식을 세우게 되면 다음과 같습니다.

따라서 θ는 아래와 같이 산정됩니다.

θ를 부재력에 대입하게 되면 다음과 같이 나옵니다.

따라서 아까와 동일하게 기둥 AB에 대해 평형방정식을 세우면 수평분력이 산정됩니다.

답은 ①번으로 동일하게 산정되는 것을 확인할 수 있습니다.
4. 마무리하며
이로써 Fixed Roller의 수정된 강성도를 활용하여 문제를 쉽게 푸는 방법에 대해 추가로 설명을 드렸습니다.
물론, 이 문제는 모멘트 분배법으로도 충분히 쉽게 풀 수 있습니다.

다만 여기서 강조하고 싶은 점은,
이와 같은 간결한 풀이가 가능한 이유는 수정된 강성도를 적용한다는 전제가 있기 때문이라는 것입니다.
(아래의 포스팅도 참조해주세요)
https://oreostructure.tistory.com/98
2024년 7급 국가직 응용역학 22번 (모멘트 분배법 풀이, 수정된 강성도)
1. 개요이번 문제는 2024년 국가직 7급 22번으로 출제되었던, 좌우 대칭 프레임의 절대 최대 휨모멘트를 구하는 문항입니다.문제에서 “좌우 대칭인 라멘 구조물”이라는 문구를 굳이 언급한 이유
oreostructure.com
특히 반드시 기억하셔야 할 점은,
수정된 강성도를 적용한다고 해서 Fixed Roller의 수직 처짐을 0으로 둔다는 의미가 아니라,
해당 자유도를 해석 대상에서 의도적으로 제외하고 푸는 것이라는 점입니다.
이 차이를 혼동하시면 이후 변위법이나 모멘트 분배법 적용 시 개념적으로 흔들릴 수 있습니다.
이전에 다루었던 프레임(Frame) 해석 관련 포스팅들을 함께 참고하시면서,
수정된 강성도의 의미와 적용 범위를 하나씩 정리해 보시길 권해드립니다.
시험에서 3차 부정정 구조물이 출제된다면,
대부분의 경우 대칭 또는 역대칭 조건을 활용해 문제를 단순화할 수 있는 장치가 함께 주어집니다.
이러한 상황에서 수정된 강성도는 7급·9급 시험에서 매우 강력한 무기가 될 수 있습니다.
'재미있는 문제- 쉬운풀이 > Frame 구조물' 카테고리의 다른 글
| 2018년 1차 서울시 7급 1번 (부정정 차수가 높을 땐 변위법) (1) | 2026.02.03 |
|---|---|
| 2024년 7급 국가직 응용역학 22번 (한줄풀이로 단순화 하기) (0) | 2025.12.15 |
| 2024년 7급 국가직 응용역학 22번 (1차 부정정 문제로 치환 + 변위일치 ) (0) | 2025.12.14 |
| 2009년 국가직 7급 16번 문제 (변위일치로 풀기) (0) | 2025.12.10 |
| 2009년 국가직 7급 문제 9번 (구조물 처짐에 대한 올바른 관점) (0) | 2025.12.09 |