
1.개요
Frame 구조물은 대부분의 외력을 휨 변형(Bending) 으로 저항하기 때문에, 전체 해석의 관점에서 보면 보 구조물과 매우 유사한 형태를 띱니다. 실제로 문제에서 “축력을 고려하라”는 별도의 지시가 없다면, 축력에 의한 변형은 무시하고 휨에 의한 거동만 반영하여 각 부재를 Beam으로 취급해도 충분합니다.
이 관점에서 위 문제를 다시 바라보면 해석이 훨씬 단순해집니다.
- AB 부재는 고정단–자유단 조건을 가진 캔틸레버 보로 볼 수 있고
- BC 부재는 단순 지지된 보로 간주할 수 있습니다.
다만, 캔틸레버 AB와 단순보 BC를 완전히 독립된 보로 취급할 수는 없습니다.
두 부재는 절점 B에서 연결되어 있기 때문에, 절점 B는 두 부재에서 동일한 회전각 θB를 가져야 합니다. 이 회전각을 만들어내는 요소가 바로 미지 모멘트 M(절점 모멘트)입니다.
즉, 절점 B의 회전각이 동일하도록 만들기 위해
캔틸레버 AB에서 발생하는 회전과
단순보 BC에서 발생하는 회전이
미지 모멘트 M에 의해 서로 연결되고 일치하도록 강제되는 것입니다.
이러한 해석 관점은 고전적인 3연(3-Moment) 방정식에서 사용하는 사고방식과 동일합니다.
즉, 각 보를 독립적으로 바라보되, 절점 조건(회전각 연속)을 이용해 하나의 미지모멘트로 전체 구조를 연계하는 방식입니다.
참고로 이와같은 사고로 과거 2009년 7급 국가직 4번 문제를 다룬 바 있습니다.
https://oreostructure.tistory.com/74
2009년 7급 국가직 응용역학 4번 문제 (등가절점하중 + 변위일치 해법)
1. 개요위 문제는 3차 부정정 Frame 구조물의 해석을 요구하는 동시에,구조적으로 상당히 흥미로운 특징을 갖고 있습니다.우선 구조 자체는 BC와 AD의 중점을 연결하는 선을 기준으로 완전한 기하
oreostructure.com
2. 문제풀이 Ⅰ (B점의 내력을 미지력)
개요에서 서술한대로 Frame 구조물을 2개의 보 (캔틸레버, 단순보)로 모델링 할 수 있습니다.
보 BC에서 B를 힌지로 모델링이 가능한 이유는 보 AB가 축방향 변형이 무시되기 때문입니다.

회전각은 시계방향 회전을 양(+)의 값으로 할때 다음과 같이 서술할 수 있습니다.
(1) 캔틸레버 AB에서 B에서의 회전량

(2) 단순보 BC에서 B에서의 회전량

(3) 적합방정식 θBA = θBC

해당 적합방정식을 풀면 다음과 같이 미지력 M을 산정할 수 있습니다.

이제 자유물체도는 다음과 같이 명쾌하게 표현 할 수 있습니다.

C점의 반력은 단순보 BC에서 모멘트 평형에 의해 37.5 kN으로 간단하게 산정 가능합니다.
따라서 답은 ④번 입니다.
(4) 참고 사항 (변위산정)
만약 B점에서 Frame 구조물이 100kN에 의해 발생한 Sway (수평이동) 변위량을 산정하고 싶으면 어떻게 할까요?
이는 캔틸레버 AB를 통해 산정 가능합니다.
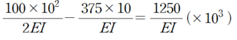
캔틸레버에서 100kN과 375 kNm에 의한 B점의 수직처짐량을 산정하면,

또한 B점의 회전각을 산정하고 싶다면
캔틸레버 AB에서

혹은 단순보 BC에서

로 동일하게 회전각을 산정할 수 있습니다.
3. 문제풀이 Ⅱ (C점의 반력을 미지력)
보통 시중 문제집에서는 문제에서 요구하는 반력을 미지력으로 놓고 변위일치를 하는 풀이를 많이 보여줍니다.
따라서 시중 문제집에 익숙한 분들을 위해 C점의 반력을 미지력으로 놓겠습니다.
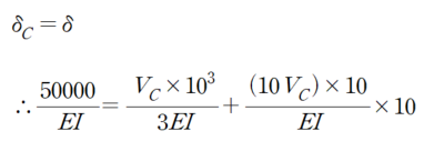
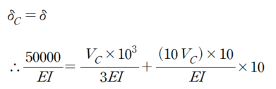
C점의 Roller를 없애고 자유단으로 치환하면 C점의 수직력은 B점의 회전각에 의해 결정됩니다.

즉 δc = θb × 10로 간단하게 산정 할 수 있습니다.

미지력 Vc에 의한 변위와 자유물체도를 살펴보면 다음과 같습니다.

이때의 C점의 처짐을 δ (↑) 라고 하였을때,

δC와 δ은 동일 값이 되도록 (처짐 =0) 하는 Vc를 산정하면 되므로 다음과 같이 풀이 할 수 있습니다.

따라서

답은 동일하게 산정됩니다.
4. 마무리하며
어떤 양을 미지력으로 선택하든, 최종 결과는 동일하게 도출된다는 점을 이번 풀이를 통해 확인하였습니다. 따라서 여러분께서는 가장 직관적이고 편리하다고 느끼는 방법을 선택하시면 됩니다.
Frame 해석에서 중요한 원칙은 변위일치를 적용하기 전에 반드시 축방향 변형은 무시하고 휨 변형만 고려한다는 점입니다. 이러한 조건이 주어지면 각 부재는 본질적으로 보(Beam) 와 동일한 성격을 띠게 되므로, 보 해석에서 사용하던 개념과 공식을 그대로 적용할 수 있습니다.
다만, 부재 간의 Kinematic 관계, 즉 한 부재의 변위가 다른 부재의 변위에 어떻게 종속되는지 파악하는 과정은 처음에는 다소 어렵게 느껴질 수 있습니다. 그러나 몇 번만 반복적으로 연습해보면 금방 감을 잡을 수 있고, 구조 해석 전체를 바라보는 눈이 크게 확장됩니다.
특히 Kinematic 관계는 시험에서 고난도 문항일수록 핵심적인 역할을 합니다. 이 부분의 이해도를 확실히 높이고 싶으시다면, 시중 문제집보다 제 블로그의 풀이 흐름을 따라오시는 것이 훨씬 도움이 될 것이라 자신 있게 말씀드립니다. 다양한 기출문제를 통해 Kinematic 관계를 자연스럽게 체득할 수 있도록 구성해두었습니다.
'재미있는 문제- 쉬운풀이 > Frame 구조물' 카테고리의 다른 글
| 2024년 7급 국가직 응용역학 22번 (한줄풀이로 단순화 하기) (0) | 2025.12.15 |
|---|---|
| 2024년 7급 국가직 응용역학 22번 (1차 부정정 문제로 치환 + 변위일치 ) (0) | 2025.12.14 |
| 2009년 국가직 7급 문제 9번 (구조물 처짐에 대한 올바른 관점) (0) | 2025.12.09 |
| 2007년 7급 국가직 응용역학 4번 (변형도에 대한 직관적인 풀이) (0) | 2025.11.28 |
| 2009년 7급 국가직 응용역학 4번 문제 (처짐각법 풀이) (1) | 2025.11.20 |