
1. 개요
Frame 구조물은 기본적으로 여러 보 부재가 꺾여 연결된 구조라고 이해하시면 됩니다.
문제에 따라 (이번 문제처럼) 축력 변형을 일부 고려해야 하는 경우도 있지만,
실제 대부분의 Frame은 외력을 휨(moment)으로 저항하는 구조입니다.
따라서 보의 중첩법에 익숙하신 분들은 Frame 문제도
크게 다르지 않게, 자연스럽게 풀어가는 모습을 보이곤 합니다.
이번 문제에서 요구하는 A점의 수직 처짐 역시 비슷한 맥락입니다.
A점 휨에 의한 처짐은,
결국 꺾여 있는 (1–a) 길이의 보 부재의 회전각에 큰 영향을 받습니다.
즉,
- 먼저 해당 부재의 회전각을 계산하고,
- 그 회전각이 a 길이 떨어진 지점에 만들어내는 처짐을 구한 뒤,
- a 부분에 대한 하중 P에의한 처짐을 중첩법 원리와 함께 해석하면
휨에 의한 처짐을 비교적 단순하게 접근할 수 있습니다.
문제에서는 여기서 축방향 변형을 고려하라고 하였으므로 이에 대한 효과는 휨효과에 단순 중첩시켜 접근합니다.
복잡해 보이는 Frame 문제도
결국은 “보가 회전하면 어떤 처짐이 발생하는가?”라는
기본 개념으로 돌아오게 됩니다.
이 점을 이해하고 접근하시면
Frame 구조물 해석이 훨씬 쉬워질 것입니다.
이번 문제풀이에서는 중첩의 원리와 카스틸리아노 2법칙 2가지 방법으로 문제에 접근해보겠습니다.
2. 문제풀이 (중첩의 원리)
두개의 부재의 자유물체도를 그려보면 다음과 같습니다.

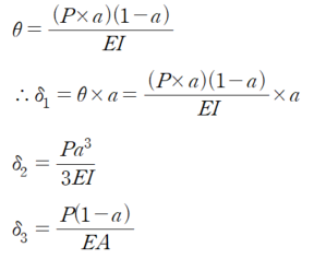
그리고 이에 따른 A점의 하중의 처짐은 다음과 같이 산정할 수 있습니다.

이때 δ1, δ2, δ3 를 모두 산정하면 다음과 같습니다.

따라서 이를 중첩하면 다음과 같이 산정 됩니다.

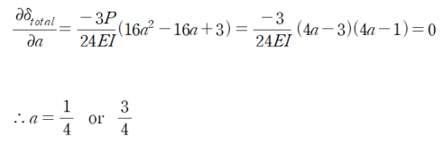
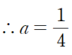
수직 처짐이 최소가 되는 a를 구해야 하므로 미분을 통해 최소값을 산정합니다.

a가 1/4일때 극소값, 3/4일때 극대값이 됩니다.
따라서 답은

② 번 입니다.
3. 문제풀이 (카스틸리아노 2법칙 활용)
자유물체도를 통해 휨에의한 변형에너지와 축력에 의한 변형에너지를 합하면 다음과 같습니다.

따라서 카스틸리아노 2법칙에 따라 다음과 같이 표현할 수 있습니다.

이는 위에서 중첩법으로 산정하였던 처짐과 동일한 방법입니다.
따라서 최소값을 구하기 위해 미분하면

a가 1/4일때 극소값, 3/4일때 극대값이 됩니다.
따라서 답은

② 번 입니다.
4. 마무리하며
이번 포스팅의 목적은 중첩의 원리(Superposition)와 카스틸리아노 2법칙을 이용해 산정한 결과가 서로 동일함을 확인하고,
각 풀이 방식이 어떤 특징을 갖는지 비교하여 소개하는 데에 있습니다.
해당 문제를 중첩법으로 풀기 위해서는
각 변형이 서로에게 어떤 영향을 미치는지를 나타내는 기구학적 관계(kinematic relation)를 명확히 알고 있어야 합니다.
즉, 변형량 간의 연계 구조를 이해하고 있어야 비로소 올바른 식을 세울 수 있습니다.
반면 카스틸리아노 2법칙은 에너지 기반 접근법이기 때문에
별도의 기구학적 관계식을 고민하지 않고도 해를 구할 수 있다는 장점이 있습니다.
그럼 실제 시험(7급·9급)에서는 어떤 풀이를 선택해야 할까요?
저는 이 문제를 우선 건너뛰고, 시간이 남을 때 돌아오는 전략을 추천드립니다.
그 이유는 다음과 같습니다.
- 식에 등장하는 분수(비율) 형태가 많다 → 연산 부담 증가
분수는 통분 과정에서 실수가 나기 쉽습니다. 시험장에서 가장 위험한 연산 형태입니다. - 최소값을 구하려면 미분 후 인수분해까지 필요
이 과정은 손계산으로 하기 번거롭고 시간도 생각보다 오래 걸립니다.
카스틸리아노 2법칙은 겉으로는 간단해 보입니다.
앞으로 모든 문제를 카스틸리아노 2법칙으로 풀겠다라고 가정한다면
실제로는 시험장에서 복잡한 ‘손적분’을 피할 수 없습니다.
7급·9급처럼 제한 시간 내 손계산만으로 모든 문제를 해결해야 하는 시험에서는
보통의 경우 적분이 들어가는 순간 연산량이 증가합니다.
따라서 보통 제 기출 풀이를 보면 가능하면 에너지 적분이 필요한 방식은 마지막 선택지로 두고,
더 빠르고 실수 위험이 낮은 풀이 전략을 중심으로 소개하고 있습니다.
시험장에서 승패를 가르는 요소는
“누가 공식을 많이 아는가?”가 아니라
“누가 실수 없이, 최소 연산으로 정답에 도달하는가?”입니다.
이번 문제 역시 개념은 간단하지만 연산구조가 복잡한 문제이므로,
전술적으로 후순위로 미루는 것이 고득점 전략에 더 유리합니다.
'재미있는 문제- 쉬운풀이 > Frame 구조물' 카테고리의 다른 글
| 2024년 7급 국가직 응용역학 22번 (1차 부정정 문제로 치환 + 변위일치 ) (0) | 2025.12.14 |
|---|---|
| 2009년 국가직 7급 16번 문제 (변위일치로 풀기) (0) | 2025.12.10 |
| 2007년 7급 국가직 응용역학 4번 (변형도에 대한 직관적인 풀이) (0) | 2025.11.28 |
| 2009년 7급 국가직 응용역학 4번 문제 (처짐각법 풀이) (1) | 2025.11.20 |
| 2009년 7급 국가직 응용역학 4번 문제 (등가절점하중 + 변위일치 해법) (1) | 2025.11.19 |