
1. 개요
2009년 7급 국가직 응용역학 4번 문제 (등가절점하중 + 변위일치 해법)
1. 개요위 문제는 3차 부정정 Frame 구조물의 해석을 요구하는 동시에,구조적으로 상당히 흥미로운 특징을 갖고 있습니다.우선 구조 자체는 BC와 AD의 중점을 연결하는 선을 기준으로 완전한 기하
oreostructure.com
이전 포스팅에서 말씀드렸듯이, 이번 글에서는 또 다른 풀이 방법을 소개해 드리려고 합니다.
이미 여러 포스팅을 통해 반복해서 강조드린 부분이지만,
효율적인 문제풀이 전략을 고민할 때 반드시 떠올려야 하는 Rule of Thumb이 있습니다.
“부정정 차수가 높을수록 변위법이 효율적이고,
정정에 가까울수록 응력법(가상하중법)이 효과적이다.”
이번 문항은 3차 부정정 구조물입니다.
따라서 이 원칙을 적용해 보면, 자연스럽게 변위법(특히 처짐각법)을 우선적으로 고려해 볼 수 있습니다.
실제로 이 구조를 변위법으로 접근하면 얼마나 간단해지는지,
또한 대칭을 이용했을 때와 이용하지 않았을 때 해석 난이도가 어떻게 달라지는지 비교해보는 것이 매우 의미 있습니다.
이번 포스팅에서는
- 대칭을 적극적으로 활용한 처짐각법 풀이,
- 대칭을 사용하지 않은 일반 처짐각법 풀이
두 가지 방식으로 나누어 설명드리겠습니다.
2. 풀이
(1) 대칭을 활용한 처짐각 법 풀이

응력법의 기본은 부정정차수를 산정하는 것이고 변위법의 기본은 자유도를 산정하는 것입니다.
① 자유도 산정
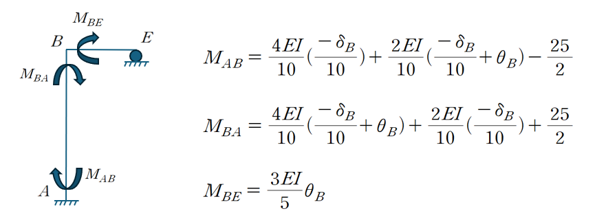
각 꼭지점은 수평, 수직, 회전을 모두 다 할 수 있습니다. 따라서 절점별 3 자유도를 갖습니다.
한편 A 점에서는 이 모든 것이 구속되어 있고 E 지점에서는 수직 변위가 구속되어 있습니다.
AB와 BE는 축변형을 무시하므로 (EA=∞) 이에 따라 B의 수직 변위가 구속되고 B의 수평 변위는 E의 수평변위에 종속됩니다. 따라서 2개의 contraint 가 생깁니다.
따라서 자유도는 다음과 같이 정리 할 수 있습니다.

한편 E의 회전 자유도는 부재력에 어떠한 영향을 끼치지 않기 때문에 이를 무시하도록 하겠습니다.
따라서 자유도는 한개 더 줄어듭니다.

2개의 자유도 혹은 변위로 해당 구조물의 부재력을 모두 표현할 수 있습니다. 또한 E의 회전각을 제외하고 모든 변위를 2개의 자유도로 표현할 수 있습니다.
두개의 자유도는 B지점의 회전량과 B지점에서의 수평변위 (Side Sway DOF)입니다.
이를 그림으로 표현하면 다음과 같습니다. 각각의 자유도를 서로 독립적으로 그림으로 표현하겠습니다.

② 등가 절점 하중 산정
또한 하중에 따른 등가 절점 하중을 그림으로 표현하면 다음과 같습니다.

③ 구성 방정식

따라서 위 구성 방정식을 정리하면 다음과 같습니다.

④ 가상 변위의 법칙
- 자유도 θb 에 대한 가상 변위의 법칙은 다음과 같습니다. 이는 평형방정식과 일치하게 됩니다.

- 자유도 δb 에 대한 가상 변위의 법칙은 다음과 같습니다. 이는 평형방정식과 일치하게 됩니다.

⑤ 구성방정식 → 가상 변위의 법칙에 대입
구성방정식에서 모든 내력은 미지수 두개 θB 와 δB로 표현되었습니다.
한편, 각 자유도 별로 가상변위의 법칙을 활용하여 공식 2개를 세울 수 있었습니다.
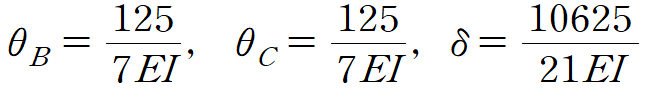
따라서 구성방정식을 가상변위의 법칙에 대입하여 θB 와 δB를 풀 수 있습니다.

이를 풀게 되면 다음과 같이 산정됩니다.

⑥ 절점 모멘트 산정
구성 방정식을 통해 자유도 θB 와 δB에 대해 절점 모멘트는 다음과 같이 표현되었습니다.

위 변위에 대한 결과 값을 대입하면 다음과 같습니다.

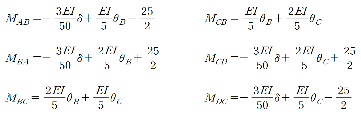
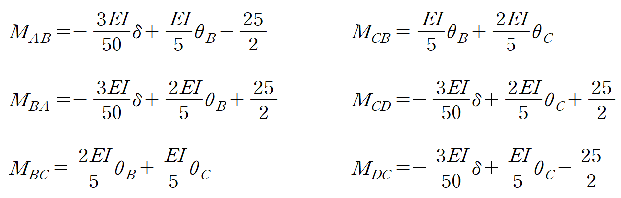
(2) 대칭을 활용하지 않는 처짐각법 풀이
이 과정은 세세한 부연설명을 생략하되 위의 풀이의 흐름을 그대로 따라가도록 하겠습니다.
① 3 자유도 : 4 × 3 - 3 × 2 - 3 = 3

② 절점 모멘트 정의, 고정단 모멘트 및 등가 절점 하중

③ 구성 방정식

④ 가상 변위의 법칙
- θB 에 대한 가상 변위 법칙

- θC 에 대한 가상 변위 법칙

- δ 에 대한 가상 변위 법칙

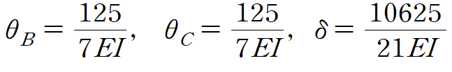
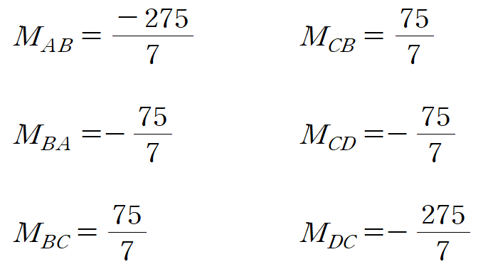
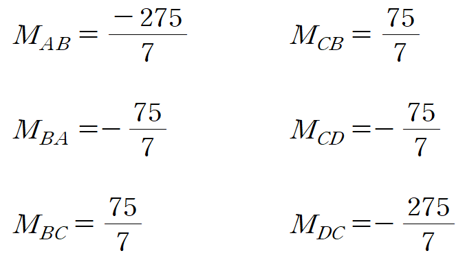
⑤ 변위 및 절점 모멘트 산정


3. 마무리하며
대칭을 고려하지 않았을때 절점모멘트와 BMD를 그려보면 다음과 같습니다.
BC부재의 정가운데의 모멘트는 0이며 모멘트도를 살펴보면 대칭축을 기준으로 역대칭인 것을 확인할 수 있습니다.
따라서 모멘트와 수평 전단력도 발생하지 않는 Roller로 모델링이 합당하다는 것을 알 수 있습니다.

이전 글에서 소개해드린 변위일치 풀이법과 비교해 보았을 때, 독자 여러분은 어떤 방식이 더 편하셨나요?처짐각법으로 직접 풀었을 때는 대입과 연산이 다소 많아 보이는 느낌을 받으셨을 수도 있습니다.
물론 구조해석에서 기본적인 원칙(Rule of Thumb)은 다음과 같습니다.
“부정정 차수가 증가할수록 변위법이 더 효과적이다.”
하지만 여기서 제가 개인적으로 하나 더 강조드리고 싶은 저만의 룰이 있습니다.
✔ “연립방정식은 되도록 피하자”
처짐각법으로 접근하면 자유도 2개(각 절점 회전량)가 존재하므로
결국 미지수 두 개의 연립방정식을 풀어야 했습니다.
반면, 이번 문제처럼 역대칭 성질을 정확히 파악하고
이를 활용하여 roller 조건으로 치환하면
절점 모멘트 하나만 미지수로 두어 방정식 한 개로 문제를 끝낼 수 있습니다.
계산 과정은 절반 이하로 줄어들고, 실수 가능성도 크게 낮아집니다.
✔ 연산을 줄이는 것이 중요한 이유
7급·9급 공무원 시험은 공학용 계산기가 불가하고
오직 손계산으로 문제를 해결해야 합니다.
따라서 저는 수험생분들께 다음과 같은 전략을 권해드립니다.
“일반적인 구조해석 원칙 + 본인만의 단축 풀이 규칙”을 함께 가져갈 것.
풀이가 간단하고 손이 덜 갈수록
시간이 절약되고, 실수가 줄고, 점수가 올라갑니다.
'재미있는 문제- 쉬운풀이 > Frame 구조물' 카테고리의 다른 글
| 2024년 7급 국가직 응용역학 22번 (1차 부정정 문제로 치환 + 변위일치 ) (0) | 2025.12.14 |
|---|---|
| 2009년 국가직 7급 16번 문제 (변위일치로 풀기) (0) | 2025.12.10 |
| 2009년 국가직 7급 문제 9번 (구조물 처짐에 대한 올바른 관점) (0) | 2025.12.09 |
| 2007년 7급 국가직 응용역학 4번 (변형도에 대한 직관적인 풀이) (0) | 2025.11.28 |
| 2009년 7급 국가직 응용역학 4번 문제 (등가절점하중 + 변위일치 해법) (1) | 2025.11.19 |