
1.개요
https://oreostructure.tistory.com/158
2019년 지방직 9급 응용역학개론 (신규 입문자를 위한 전략)
바로 풀린다” 리스트 (문제당 30초 내외)1 (단면의 도심), 2 (평형방정식으로 산정), 4 (평형방정식으로 반력 산정), 6 (트러스 단면법),7 (최대모멘트 산정), 8(정정보의 해석), 9(휨응력과 모멘트), 10
oreostructure.com
이전에 지방직 9급 응용역학개론 풀이를 올리면서, 전략적으로 자신이 없다면 처짐을 건너뛰는 것도 하나의 선택이라고 말씀드린 적이 있습니다. 다만 그 전제는 분명합니다. 다른 영역의 정답률이 충분히 보장되어 있어야 한다는 것입니다.
현실적으로 처짐을 소홀히 공부한 상태에서 다른 파트를 100%에 가깝게 맞추겠다는 것은 쉽지 않습니다. 또한 평균 점수를 합격선 위로 끌어올리기 위해서는 암기 과목에서 상당한 보완이 필요합니다. 결국 응용역학에서 일정 점수 이상을 안정적으로 확보하지 못하면 전체 전략이 흔들릴 수밖에 없습니다.
사실 처짐은 응용역학에서 매우 중요한 영역입니다. 이번 시험에서 처짐을 아예 포기하고 시험장에 들어간다는 것은 전략이라기보다 위험을 감수하는 선택에 가깝습니다. 단순히 “버리는 전략”을 세우기 전에, 최소한 기본적인 유형은 빠르게 처리할 수 있는 수준까지는 끌어올려야 합니다.
그래서 이번에는 마지막 문항이었던 20번 문제를 다양한 관점에서 분석해보고, 해당 문제를 여러 방식으로 변형하여 풀어보는 포스팅을 작성해보려고 합니다. 단순히 정답을 맞추는 데서 그치는 것이 아니라,
- 다른 지점을 물어본다면 어떻게 될까?
- 하중이 조금 변형되면 접근 방식은 어떻게 바뀔까?
- 변위법으로 보면 어떻게 보일까?
- 응력법으로 보면 어디가 단순해질까?
이와 같은 확장된 질문을 던져보는 과정이 필요하다고 생각합니다.
저는 수험생이 빠르게 성장하려면, 문제에서 묻는 것만 푸는 수준을 넘어 “이 문제가 어떻게 응용될 수 있을까”를 스스로 고민하는 훈련이 반드시 필요하다고 봅니다. 단순 반복이 아니라, 사고의 확장이 실력을 끌어올립니다.
이번 포스팅에서는 그러한 사고의 확장을 어떻게 적용하며 문제를 풀어나갈 수 있는지 함께 다뤄보겠습니다.
2. 문제풀이 방법
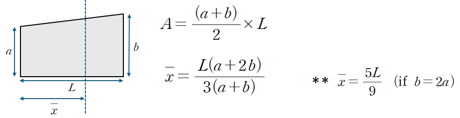
① 사다리꼴의 면적과 도심을 활용한 공액보법
개요에 붙여넣은 링크에서는 공액보법을 활용하여 해당 문제를 풀이하였습니다. 당시에는 사다리꼴의 면적 공식과 도심 공식을 직접 사용하지 않고, 이를 삼각형과 사각형으로 분해하여 각각의 면적과 무게중심을 구한 뒤 합성하는 방식으로 접근하였습니다.
다만 사다리꼴의 면적과 도심(무게중심) 공식을 정확히 암기하고 있다면, 계산 과정이 훨씬 간결해집니다. 특히 BMD가 사다리꼴 형태로 나타나는 경우나, 변단면(단면이 선형적으로 변화하는 경우) 문제가 출제될 때는 해당 공식을 알고 있는 것만으로도 접근 속도가 크게 단축됩니다.

따라서 처짐은 다음과 같이 산정할 수 있습니다.


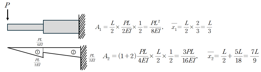
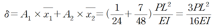
② 중첩법 (Ⅰ) : 응력법에 기반한 중첩법


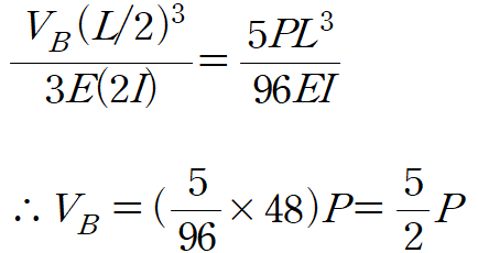
③ 중첩법 (Ⅱ) : 변위법을 혼합한 중첩법
[Case 1] : 중앙부인 B지점이 구속되어있을때

[Case 2] : B지점에 지점침하를 일으켜서 C지점의 모멘트를 시계방향으로 PL로 만드는 것이 필요

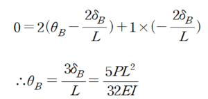
이때의 B지점에서의 반력을 구하면

따라서 B점의 회전각을 산정하면 반시계방향으로

**(참고) 혹은 B점의 회전각을 다음과 같이 산정할 수도 있습니다

따라서 Case 2에 의한 δA는 다음과 같습니다.

[Case 1] + [Case 2] 합산하여 최종 δA를 산정시, 다음과 같습니다.

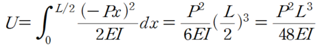
④ 에너지법
AB 구간 변형에너지는 다음과 같습니다.

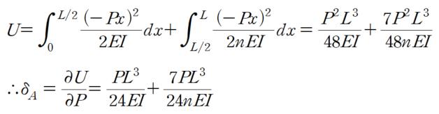
BC 구간 변형에너지는 다음과 같습니다.

총 에너지는 따라서 다음과 같습니다.

이를 A점에 작용하는 P에 대해 미분하면 A점의 처짐 δA가 산정됩니다.

** 참고** BC 구간의 휨강성이 2EI가 아닌 n×EI라고 한다면

3. 마무리하며
총 4가지 방법으로 풀이를 진행해보았습니다.
독자분들께서는 어떤 방법이 가장 편하게 느껴지셨나요?
물론 사람마다 다를 것입니다.
보통은 “이 문제는 공액보법으로 가야겠다”, “이건 중첩법이 낫겠다”처럼 일반화하려는 경향이 있습니다. 하지만 실제로는 각 방법마다 분명한 장단점이 존재합니다.
사다리꼴의 면적과 도심 공식을 암기하고 있다면 공액보법으로 매우 간단하게 접근할 수 있습니다. 반면 B지점과 같은 특정 지점 처짐은 변위법 기반의 중첩법으로도 상당히 간결하게 정리할 수 있습니다. 응력법을 통한 중첩 역시 이론적으로는 깔끔하지만, 계산 과정이 만만하지 않습니다. 항 하나만 빠져도 답이 틀어질 수 있기 때문에, 저는 실수 방지를 위해 자유물체도를 먼저 그리고 구조를 정리한 후 접근하는 것을 권하는 편입니다.
모든 문제를 변위법으로 밀어붙이는 것도 적절하지 않을 수 있습니다. 정정구조물의 경우 자유도가 많아지면 변위법이 오히려 비효율적일 때도 있습니다. 에너지법 역시 캔틸레버에서는 손적분이 비교적 수월하지만, 단순보가 되면 모멘트를 제곱하는 순간 항이 급격히 늘어나 계산 부담이 커집니다.
그래서 저는 처짐 문제에서 “만능 공식 하나”를 찾기보다는, 여러 방법을 익혀 상황에 맞게 혼합하는 것이 가장 현실적이라고 생각합니다. 공액보법, 중첩법, 변위법, 응력법을 각각 분리된 기술로 보는 것이 아니라, 필요에 따라 섞어서 쓰는 도구로 활용하는 것입니다.
제 풀이가 일반적인 강의와 조금 다른 점이 바로 이 부분입니다. 한 가지 방법에 매몰되지 않고, 각 개념을 혼합하여 최적의 루트를 찾도록 커스터마이징해왔습니다.
이와 관련된 내용을 구독자 분들을 대상으로 일요일 오전 10시에 무료 라이브 강의로 진행할 예정입니다. 관심 있으신 분들은 구독하시고 참여하셔서 다양한 접근 방식을 직접 비교해보시기 바랍니다.
[무료강의] 축부재, 휨부재의 변위에 대한 기하학적, 에너지적 접근
안녕하세요. 오레오구조입니다.이전에 휨부재의 변위법을 주제로 한 변위법 특강을 진행하였습니다.문제를 풀기위한 스킬과 이를 뒷받힘 하는 이론을 같이 다뤄보았습니다.들으시는 분들에게
oreostructure.com
'재미있는 문제- 쉬운풀이 > 정정 보의 곡률, 처짐' 카테고리의 다른 글
| 2018년 서울시 2차 7급 4번 (삼각함수 처짐곡선의 재미있는 특성) (0) | 2026.02.13 |
|---|---|
| 2018년 1차 서울시 7급 17번 (온도를 공액보법으로 확장 적용) (0) | 2026.02.09 |
| 2017년 서울시 7급 응용역학 1번 (순수휨 정정보의 처짐을 산정하는 여러방법) (0) | 2025.12.22 |
| 2007년 7급 국가직 응용역학 19번 (처짐을 빠르게 구하는 사고) (0) | 2025.11.30 |
| 2015년 7급 서울시 응용역학 7번 (보부재의 온도 변화 처리) (0) | 2025.11.16 |