
1.개요
단순보의 BMD가 Sine 함수 형태로 주어지고,
문제에서 L/4 지점의 처짐을 구하라고 하고 있습니다.
겉보기에는 다소 난이도가 있어 보입니다.
일단 Sine이라는 삼각함수가 어색하게 다가올 수 있어 압도될 수 도 있습니다.
하지만 오히려 BMD가 Sine 함수라는 점 때문에 문제는 더 단순해집니다.
보의 처짐을 구할 때 우리는 곡률은 모멘트에 비례한다는 사실을 이용할 수 있습니다.
BMD가 Sine 함수라면,
- 곡률도 Sine 함수
- 회전각은 Sine을 한 번 적분한 -Cosine 형태
- 처짐은 다시 적분한 형태인 -Sine 함수
로 진행됩니다.
복잡하게 적분을 통한 적분상수를 구하여 경계조건을 활용해야 할까요?
이미 주어진 sine 함수가 x= L/2에 대해 대칭입니다.
이를 이중적분한 -sine 함수 역시 x=L/2에 대한 대칭이 됩니다.
즉, 경계조건을 대입하지 않아도 적분상수는 모두 0이며 불필요하게 됩니다.
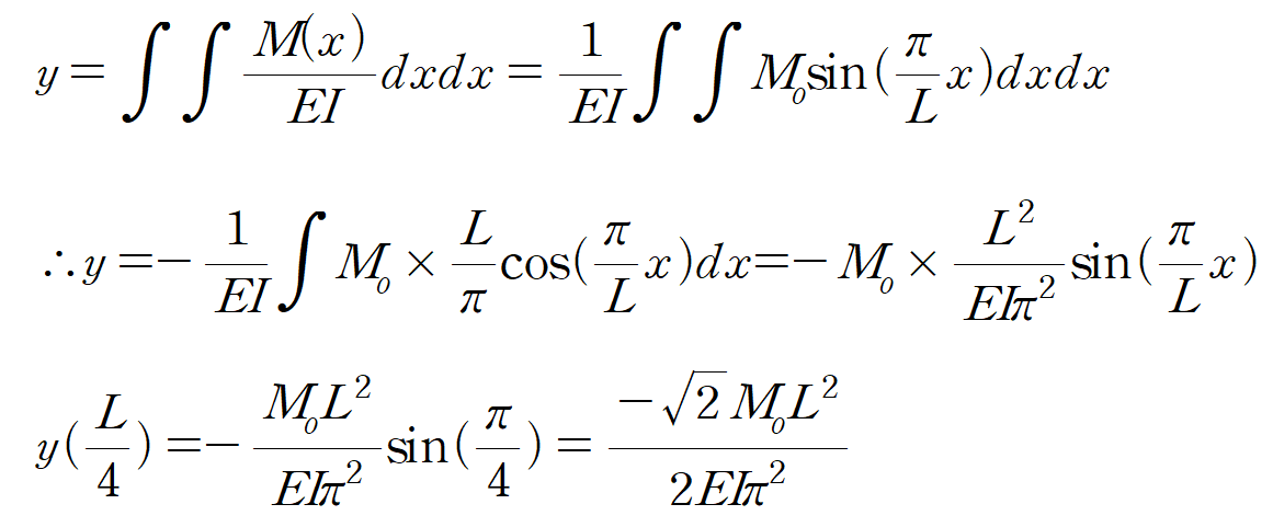
2. 문제풀이
따라서 문제는 단순히 적분 두번하고 대입하는 것으로 마무리 됩니다.

따라서 답은 ②번 입니다.
3. 문제풀이를 넘은 분석(Ⅰ)
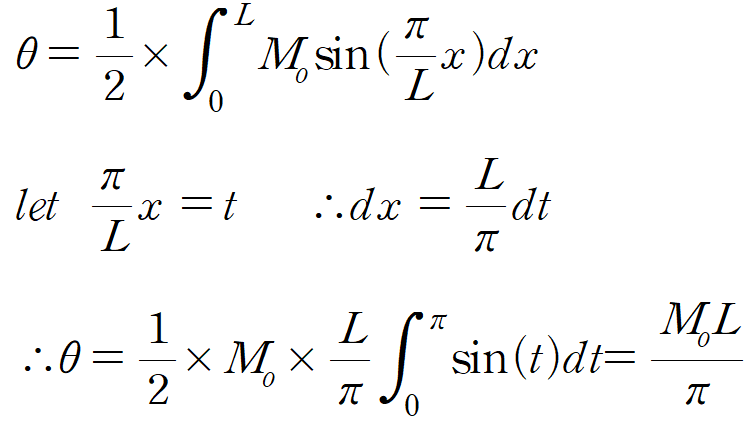
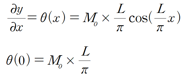
단순보 좌측지점의 회전각은 어떻게 될까요?
이는 공액보법개념을 활용하여 M(x)/EI의 하중이 단순보에 작용한다고 하고 이때의 반력을 구하면 됩니다.
한편 Sine 함수의 볼록한 부분의 면적을 알고계시면 훨씬 간단해 집니다.

따라서 각도는 다음과 같습니다.

이를 앞서 구한 처짐 곡선식에서 대입해보겠습니다.

공액보법에서 산정한 회전각과 동일하게 나옵니다.
4. 문제풀이를 넘은 분석(Ⅱ)
어떤 하중이 단순보 위에 있어야 BMD가 sine 곡선을 갖게 될까요?
이는 의외로 간단한 보의 특성을 통해 알 수 있습니다.

따라서 단순보 위에 아래와 같은 분포하중이 작용해야 문제에서 주어진 BMD를 얻을 수 있습니다.

5.마무리하며
삼각함수는 미분해도 삼각함수가 나오고 적분해도 다시 삼각함수가 나오는 매우 특징적인 성질을 갖고 있습니다.
따라서 BMD가 sine 함수 형태로 주어지면 이를 이계미분한 분포하중도 sine 함수,
이를 이중적분한 처짐곡선 역시 동일한 계열의 함수로 유지되며 구조물의 대칭성과 함수의 형상이 그대로 보존됩니다.
이 때문에 적분상수를 억지로 찾기 위해 복잡한 계산을 반복할 필요가 없습니다.
문제에서 제시된 sine 함수의 정적분 값과 대칭 조건, 경계 조건을 활용하면
자연스럽게 적분상수가 정리되며 매우 간결하게 답을 도출할 수 있습니다.
삼각함수가 등장했다고 해서 난이도가 높다고 판단하기보다,
오히려 함수의 순환성과 대칭성을 이용하라는 출제자의 의도를 읽어내는 것이 중요합니다.
계산을 길게 끌고 가는 것이 아니라 구조적 성질과 함수의 특징을 활용해
빠르고 정확하게 처리하는 사고가 7급·9급 시험에서 요구되는 전략이라 할 수 있습니다.
'재미있는 문제- 쉬운풀이 > 정정 보의 곡률, 처짐' 카테고리의 다른 글
| 2018년 1차 서울시 7급 17번 (온도를 공액보법으로 확장 적용) (0) | 2026.02.09 |
|---|---|
| 2017년 서울시 7급 응용역학 1번 (순수휨 정정보의 처짐을 산정하는 여러방법) (0) | 2025.12.22 |
| 2007년 7급 국가직 응용역학 19번 (처짐을 빠르게 구하는 사고) (0) | 2025.11.30 |
| 2015년 7급 서울시 응용역학 7번 (보부재의 온도 변화 처리) (0) | 2025.11.16 |
| 2025년 7급 응용역학 가형 22번 풀이 (공액보법으로 푸는 방법) (0) | 2025.11.11 |