
1. 개요
힘의 평형과 가상변위의 법칙
2017년 7급 국가직 응용역학 문제들 중에는 힘의 평형을 이용해 풀이하는 유형들이 여럿 있습니다.
하지만 이들 대부분은 가상변위의 법칙을 적용해도 똑같이, 오히려 더 쉽게 풀 수 있습니다.
그렇다고 해서 “가상변위로 풀면 더 쉬운 문제”가 따로 있는 것은 아닙니다.
두 방법은 결국 같은 원리에 기반하므로, 가상변위로 유도한 공식과 힘의 평형으로 유도한 공식은 동일한 결과를 줍니다.
A 매트릭스와 Kinematic 관계 (변위 매트릭스를 공부하는 사람을 위해)
이 원리는 구조기술사 수험생들이 흔히 말하는 ‘A 매트릭스’를 힘의 평형으로 세우는 이유와도 같습니다.
즉, Kinematic 관계(운동학적 관계) 를 직접 세우기 어렵다면, 평형방정식을 통해 동일한 관계를 얻을 수 있다는 뜻입니다.
왜 가상변위의 법칙을 선호하는가
평형방정식보다 가상변위의 법칙을 선호하는 이유는 명확합니다.
가상변위를 이용하면
- 필요한 식의 개수가 줄어들고,
- 구조물의 자유도(Degree of Freedom) 와 직접적으로 연관되며,
- 문제를 더 직관적으로 이해할 수 있기 때문입니다.
힘의 평형방정식은 물론 역학의 기본입니다.
하지만 그 위에서 한 단계 더 깊은 이해를 쌓고 싶다면 가상변위의 법칙을 적극적으로 활용해보길 권합니다.
2. 문제의 핵심 포인트
케이블에 작용하는 힘의 관계
이 문제에서는 케이블의 응력(stress) 이 탄성받침의 응력과 같아야 합니다.
그런데 케이블의 단면적이 탄성받침 단면적의 절반이므로,
두 부재에 걸리는 힘(force) 의 크기는 다음 관계로 해석할 수 있습니다.

따라서 단면적이 절반이라면,
케이블이 받는 힘은 C점 반력의 절반이 됩니다.
즉,
케이블의 단면적이 작을수록 같은 응력을 유지하기 위해
케이블이 분담하는 힘의 크기는 작아진다.
따라서 외력 3 kN은 케이블과 반력이 1 : 2의 비율로 분담해야 합니다.
즉, 케이블이 1 kN, 탄성받침(또는 반력)이 2 kN을 각각 부담하게 됩니다.
외력을 3 kN으로 설정한 것은 단순한 수치가 아니라,
계산을 쉽게 하도록 한 출제자의 배려로 볼 수 있습니다.
복잡한 비례식을 세우지 않고도
힘의 분담 관계를 직관적으로 파악할 수 있게 만든 것입니다.
3. 가상 변위의 법칙
쉬운 문제임을 알고 있습니다. 부디 답을 구한다는 느낌보다는 앞으로의 풀이가 평형방정식과 어떤 관계가 있는지 관찰하시면 좋을 것입니다,
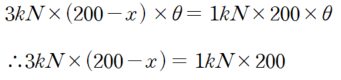
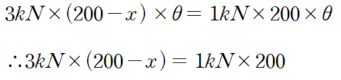
아래 하중을 놓고 C 지점에 θ 만큼 가상 변위를 부여하겠습니다.

D점의 하중 3kN는 (200-x)×θ 만큼 이동하였으며
A점의 하중 1kN는 200 ×θ 만큼 이동하였습니다.
해당 가상변위로 인하여 외력 3kN로 안한 외부일은 내력 1kN가 한 내부일과 동일합니다.
이를 식으로 표현하겠습니다.

4. 평형방정식
동일한 구조물 BDC 의 자유물체도를 통하여 C점에 대한 평형방정식을 세워보겠습니다.


5. 마무리 하며
문제의 답은 방정식을 풀어보면

라는 답 (③번) 이 나옵니다.
하지만 진정으로 주목해야 할 부분은 정답 자체가 아닙니다.
이 간단한 문제 속에서도, 가상변위의 법칙을 이용해 유도한 식과 힘의 평형방정식으로부터 유도한 식이
완전히 동일한 형태로 나타납니다.

이 유도되었습니다.
즉, Kinematic 관계와 힘의 평형관계는 궁극적으로 동일한 결론의 식을 만들어 냅니다.
이를 통해 kinematic 과 힘의 평형은 동일한 결론에 다다르며
한쪽을 산정하기 힘들면 나머지 한쪽을 산정하기 쉽다 라는 점도 깨달을 수 있습니다.
즉,
Kinematic 관계(운동학적 접근) 와 힘의 평형 관계(정역학적 접근) 는
서로 다른 길을 통해 동일한 결론에 도달합니다.
이 사실을 이해하면,
한쪽 접근이 복잡하거나 막힐 때 다른 접근법으로 쉽게 해결할 수 있다는 자신감을 얻게 됩니다.
참고로, 2023년 7급 국가직 응용역학 17번 문제 또한 평형방정식과 가상변위의 법칙을 함께 비교해보면
두 접근이 얼마나 자연스럽게 연결되는지 확인할 수 있습니다.
https://oreostructure.tistory.com/32
2023년 7급 국가직 응용역학 풀이 (계산량은 최소화 하여 풀자)
총평2023 국가직 시험은 계산량이 많지 않았으며, 대부분의 문항을 가상변위의 법칙으로 간단히 정리할 수 있었다.대부분 수험생들이 평형방정식(∑F=0, ∑M=0) 기반의 전통적 풀이에 익숙하지만,
oreostructure.com
'재미있는 문제- 쉬운풀이 > 힘의 평형 (정역학)' 카테고리의 다른 글
| 2007년 7급 국가직 응용역학 9번 (정역학 문제를 분석하는 방법) (0) | 2025.12.01 |
|---|---|
| 2018년 7급 국가직 응용역학 2번 (0) | 2025.10.22 |
| 2017년 국가직 응용역학 7급 가형 20번 (0) | 2025.10.21 |