
1. 개요
5급 · 7급 · 9급 시험의 출제 경향 비교
사실 5급·7급·9급 응용역학 시험은 모두 학부 수준의 기본 이론 범위 안에서 출제됩니다.
다만, 계산 도구의 사용 가능 여부와 문제의 구조 단순화 정도에 따라 난이도가 달라집니다.
7급과 9급 시험은 공학용 계산기 사용이 불가능하기 때문에
모든 계산을 손으로 직접 수행해야 합니다.
따라서 문제는 상대적으로 단순한 구조물 형태로 출제되고,
산술적으로 깔끔하게 떨어지는 수치 구성을 통해
출제자의 일종의 배려가 느껴지는 문제들이 많습니다.
반면, 5급 시험은 공학용 계산기의 사용이 허용되므로
이와 같은 단순화된 배려가 거의 없습니다.
문제의 구조가 더 복잡해지고, 계산 과정도 길어지는 경향이 있습니다.
이러한 차이는 2018년 국가직 7급 20번 문제와 2025년 5급 공채 응용역학 4번 문제를 비교해 보면 잘 드러납니다.

두 문제 모두 두 개의 캔틸레버 사이에 스프링이 연결된 구조로,
스프링 모델링 방식은 동일합니다.
하지만 하중 조건이 다릅니다.
- 2018년 7급 문제에서는 단순한 집중하중 P가 작용했고,
- 2025년 5급 문제에서는 이를 충격하중(Impact Load) 형태로 변형했습니다.
7급 시험에서는 이러한 충격하중 유형이 거의 등장하지 않습니다.
이는 손계산으로 풀기 어렵고 시간이 오래 걸리기 때문입니다.
따라서 최근 2025년 서울시 7급 문제에서도 볼 수 있듯이,
구조물 자체는 단순화된 형태로 제시되는 경우가 많습니다.
2017년 국가직 7급 응용역학 17번도 매우 유사한 유형입니다.

해당 문제에 대한 풀이는 하단의 링크를 확인하시기 바랍니다.
https://oreostructure.tistory.com/39
2017년 7급 국가직 17번 - 합성구조물의 스프링 치환
1. 개요합성 구조물이 시험에 출제될 때, 이를 스프링으로 치환하여 풀이하는 수험생은 많지 않습니다.이는 치환 과정에서 실수를 해 오답을 낼까 두려워서일 수도 있고, 이러한 접근 방식에 익
oreostructure.com
혹시라도 7급이나 9급 시험에 합격하신 분들이라면,
그때 정리해 두신 이론을 잘 보관해 두시기를 권해드립니다.
응용역학의 핵심 원리는 5급 공채나 기술사 시험에서도 그대로 이어지기 때문에,
기초가 잘 다져져 있다면 이후 단계의 시험에서도 큰 강점이 됩니다.
즉, 지금 공부하시는 이 내용이
장기적으로 5급·기술사 준비의 밑바탕이 될 수 있다는 점을 꼭 기억하시면 좋겠습니다.
2. 2018년 국가직 7급 20번 풀이
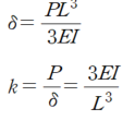
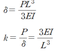
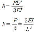
(1) Cantilever의 끝단 처짐에 대한 강성도


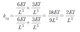
(2) 스프링 모델링

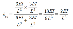
스프링과 캔틸레버가 직렬로 연결된 구간에 대해
이를 하나의 시스템으로 단순화하면, 해당 구간의 등가 스프링 계수(Equivalent Spring Constant) 는
다음과 같이 산정할 수 있습니다.

또한, 맨 우측 그림을 기준으로 살펴보면
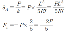
하중이 작용하는 지점에서는 위쪽 스프링과 아래쪽 스프링이 병렬로 연결되어 있습니다.
이러한 관계를 이용하면, 해당 지점의 처짐(Deflection) 과 아래쪽 스프링에 작용하는 부재력(Member Force) 을
다음과 같이 구할 수 있습니다.

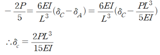
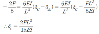
C점의 처짐을 구하기 위해서는
A점과 C점을 연결하는 스프링 계수에
두 점의 처짐 차이(즉, C점 처짐 − A점 처짐)를 곱해주는 방식으로 계산할 수 있습니다.
이를 통해 C점의 실제 처짐 값을 손쉽게 산정할 수 있습니다.

3. 마무리하며
비슷한 유형의 문제로는 2025년 5급 공채 응용역학 4번과
2017년 국가직 7급 응용역학 17번이 있습니다.
독자 여러분께 병렬 연결과 직렬 연결 문제의 유사성을 꾸준히 보여드릴 예정입니다.
이를 통해 수험생분들이 출제자의 의도와 문제의 흐름을
보다 명확하게 파악할 수 있도록 돕고자 합니다.
앞서 다른 글에서도 언급했듯이, 출제자들은 구조물을 스프링으로 치환하는 유형을 매우 선호하며,
그 과정에서 등장하는 등가 하중(Equivalent Load) 개념 역시 자주 활용합니다.
이러한 출제 경향은 5급·7급·9급 시험을 구분하지 않고 공통적으로 나타나는 특징이므로,
이 부분에 대한 감각을 꾸준히 익혀두신다면 어떤 시험에서도 보다 빠르고 정확하게 문제를 해석하실 수 있을 것입니다.
'재미있는 문제- 쉬운풀이 > 합성구조물' 카테고리의 다른 글
| 2018년 1차 서울시 7급 6번 (등가절점하중과 병렬연결의 조합) (0) | 2026.02.08 |
|---|---|
| 2009년 국가직 7급 18번 (강성도의 정의를 활용한 깔끔한 문제) (0) | 2025.12.05 |
| 2025년 5급 공채 응용역학 1번 문제 (2) | 2025.11.01 |
| 2017년 7급 국가직 7번 (하중을 강성도 비율로 나누어 갖는 병렬연결) (10) | 2025.10.29 |
| 2017년 7급 국가직 9번 문제 (출제자의 직렬 연결에 대한 힌트) (2) | 2025.10.28 |