
1.개요
여러분께서는 위의 문제를 보고 어떤 생각이 드시나요?
이중적분과 곡률이 가장 먼저 떠오르고, 거기에서 사고가 멈춘다면 한 번쯤은 생각을 더 확장해 보시는 것이 좋겠습니다.
실제로 티모센코(Timoshenko) 계열의 재료역학 교재를 보면, 이러한 문제를 이중적분으로 푸는 예제들이 많이 수록되어 있습니다. 곡률의 개념을 이해하고, 그로부터 공액보법이 어떻게 파생되는지를 학습하는 데에는 매우 중요한 접근법입니다. 또한 경계조건(Boundary Condition)에 대한 이해도를 높이는 데에도 큰 도움이 됩니다.
다만 문제는, 이러한 접근법이 7급·9급 공무원 시험 환경에서는 한계가 분명하다는 점입니다. 우리는 제한된 시간 안에 손계산으로 문제를 해결해야 하며, 따라서 보다 효율적인 접근법을 익히는 것이 필수적입니다.
이 문제에서 출제자는 이미 중요한 힌트를 제공하고 있습니다.
바로 모멘트의 방향과 회전각의 부호를 명확하게 표시해 두었다는 점입니다.
이 장치는 무엇을 의미할까요?
대부분의 수험생들은 A점의 부정정 반력을 먼저 설정하고, 평형방정식을 세운 뒤 이중적분으로 접근하는 비교적 시간이 오래 걸리는 방법을 선택할 가능성이 큽니다. 그러나 출제자의 의도는 그 방향에 있지 않습니다.
이 문제는 모멘트와 회전각의 관계를 직접 활용하라는 메시지를 담고 있는 문제입니다.
실제로 이러한 관계를 활용하면, 문제는 매우 간단해집니다.
또한 굳이 BMD를 그리고 삼각형과 사다리꼴 면적을 구하는 공액보법까지 갈 필요도 없습니다.
이미 처짐각법의 유도 과정에서 등장하는 유연도 기반의 기본 관계식, 즉 부재 내부 자유도(회전각)와 모멘트 사이의 관계를 나타내는 매우 유용한 식이 존재합니다.
다시 말해, 양 끝단의 모멘트만 알고 있다면 처짐각은 매우 쉽게 산정할 수 있습니다.
이 문제는 바로 그 점을 활용할 수 있는지를 묻고 있는 문제라고 보시면 됩니다.
2.문제풀이
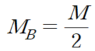
B점의 모멘트는 A점의 M이 carry Over되어 M/2 가됩니다.

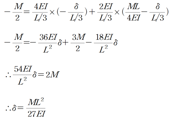
따라서 A점의 회전각은 다음과 같이 산정됩니다.

최대 처짐은 어디에서 발생할까요? 이는 기울기가 0인지점에서 발생합니다.
기울기가 0인지점의 모멘트를 mx라고 회전각을 0으로 만드는 모멘트 mx는 다음과 같이 산정됩니다.

이제 모멘트가 M/2가 되는 절점의 위치를 A로 부터의 거리로 산정하면 됩니다.
이는 BMD를 통해 기하학적으로 쉽게 유도 됩니다.

따라서 답은 L/3이며 ①번입니다.
3. 문제의 확장
만약 최대처짐을 구하라라고 하면 어떻게 하면 될까요?
이는 처짐각법의 기본공식을 활용하시면 됩니다.
처짐이 발생하였으므로 이를 이전 기본개념 포스팅에 활용하였던 현회전각 개념을 사용하시면 됩니다.

4. 마무리하며
성실하게 공부하신 분들 중에서도
“서울시 7급이나 국가직 7급 응용역학은 과락만 넘기면 되는 시험이다”,
“과감히 피해야 할 문제를 최소 8문제 이상은 안고 가야 한다”
와 같은 이야기를 들어보신 분들이 적지 않을 것이라 생각합니다.
저는 이러한 잘못된 인식이 응용역학을 더 어렵게 만드는 괴담이라고 생각합니다.
잘못된 생각으로 평형방정식과 손적분에서 생각을 확장하려 하지 않습니다.
처짐은 공식에 대입하는 것 아니면 풀수 없는 것으로 넘기려고 합니다.
그렇게 매우 쉽고 빠르게 풀 수 있는 문항들도 건너뛰게 됩니다.
저는 이를 정정하는 인식을 만들고자 합니다.
"7급 응용역학은 남들보다 쉽게 생각하여 2~3문제 더 맞추면 컨디션과 운과 무관하게 반드시 합격하는 시험이다"
이른바 잘못된 인식이 괴담처럼 퍼져 있는 이러한 인식 속에서,
부정정 구조물 + 처짐 유형은 아마도 “무조건 스킵해야 하는 문제”로 분류될 가능성이 큽니다.
하지만 정말 그럴까요?
위와 같은 문제는 회전각과 모멘트의 관계식만 정확히 이해하고 있다면, 30초도 걸리지 않게 풀 수 있는 문제입니다.
그럼에도 불구하고 많은 수험생들이
“최대 처짐 문제는 이중적분으로 푸는 것이 정석이다”
"처짐 문제는 반드시 가상하중을 가하여 평형방정식 부터 세워야 정석적 풀이다"
라는 잘못된 인식에 갇혀 있는 것 같아 매우 아쉽습니다.
재료역학의 기본서들을 보면 그러한 문구조차 쓰여져 있지 않습니다.
오히려 개념들을 추가하며 확장시킬 수 있는 관점들을 소개하며 서술되어있습니다.
또 하나 자주 보이는 오해는,
“처짐각법은 7급·9급에서 거의 안 나오니 과감히 버려야 한다”
라는 주장입니다.
하지만 이는 명백히 잘못된 판단입니다.
설령 문제에서 처짐각법이나 보의 유연도법을 직접적으로 적용하라고 요구하지 않더라도,
이들 이론은 다음과 같은 데에 매우 중요한 역할을 합니다.
- 회전각–모멘트 관계를 통해 강성도와 유연도를 빠르게 산정하는 사고력
- 처짐과 처짐각을 굳이 적분 없이도 즉각적으로 추론하는 능력
- 복잡한 부정정 문제를 “계산 문제”가 아니라 “관계식 문제”로 바꾸는 관점
즉, 처짐각법과 유연도 개념은 풀이 도구라기보다 사고의 프레임에 가깝습니다.
제가 이 풀이를 공유하는 이유도 바로 여기에 있습니다.
조금만 관점을 바꾸면,
많은 분들이 두려워하는 문제들이 사실은 가장 빨리 풀 수 있는 문제로 바뀔 수 있다는 점을 보여드리고 싶었습니다.
끝으로 저는 쉽게 생각하는 사고의 방식을 효율적으로 전달하기 위해 무료 라이브 강의를 하고 있습니다.
이에 대한 공지글도 올렸으니 많은 신청 바랍니다.
https://oreostructure.tistory.com/127
[무료강의] 2025년 7급 서울시 응용역학 기출 풀이 라이브(2회차)
안녕하세요. oreostructure 입니다.이번에는 2025년 7급 서울시 기출 풀이 11번 ~ 20라이브를 진행합니다.2회차 라이브 안내(신청 접수 진행)(1) 1월 21일 (수) 저녁 8시 진행(2) 2025년 서울시 응용역학 7급 1
oreostructure.com
'재미있는 문제- 쉬운풀이 > 부정정 보의 해석' 카테고리의 다른 글
| 2009년 7급 국가직 응용역학 5번 문제 (변위 기반의 생각) (0) | 2025.12.06 |
|---|---|
| 2015년 7급 서울시 응용역학 10번 (해답을 넘은 해설 : 영향선과 FEM) (0) | 2025.11.26 |
| 2015년 7급 서울시 응용역학 5번 (부정보의 지점침하) (2) | 2025.11.16 |
| 가상 변위의 법칙으로 강성도 산정 및 등가하중으로 처짐 구하기 (2024년 서울시 7급 16번) (0) | 2025.11.03 |