
1. 개요
이번에 살펴볼 문항은 2차 부정정 보에서 고정단 회전각을 구하는 문제입니다.
이러한 부정정 보 구조물은 일반적으로 응력법보다 변위법이 훨씬 효율적이며,
보 구조의 변위법 가운데 가장 대표적인 기법이 바로 처짐각법(Slope-Deflection Method) 입니다.
이번 포스팅에서는 단순히 처짐각법 계산 과정을 소개하는 데서 끝나지 않고,
- 지점침하에 대한 어떤 포인트를 이해해야 실력이 올라가는지,
- 처짐각법과 고정단 모멘트(Fixed End Moment) 의 관계,
- 그리고 많은 분들이 궁금해하는 영향선(Influence Line) 과의 연결점
까지 함께 이야기해보려고 합니다.
문제 풀이 이상의 가치가 있는 내용이니 차근차근 따라오시면
부정정 보 해석에 대한 감각을 훨씬 쉽게 잡으실 수 있을 것입니다.
2. 지점 침하에 대한 이론과 Insight
1. 정정구조물의 처짐 — 내력이 생기지 않는다
이전 포스팅에서도 말씀드렸듯이, 정정 구조물은 지점침하나 외부 변형이 발생해도 구조물 내부에 추가 내력이 생기지 않습니다.
예를 들어, 캔틸레버 보의 고정단이 약간 회전한다고 가정해 보겠습니다.
정정보라면 내부모멘트가 존재하지 않기 때문에 보 전체는 단순히 일직선으로 기울어질 뿐
어떤 곡률(휘어짐)도 발생하지 않습니다.
즉,
- 모멘트 없음 → 곡률 없음 → 직선 유지
이 성질을 이용하면
정정보의 고정단 모멘트, 수직/수평력 등을
가상변위의 법칙이나 뮬러–브레슬러의 선형변형 가정만으로
매우 간단하게 구할 수 있습니다.
아래는 이를 활용한 대표척 예시 문항입니다.
https://oreostructure.tistory.com/36
2018년 7급 국가직 응용역학 2번
1. 개요 위의 문제를 다음과 같은 2개 방식으로 풀어보겠습니다① 평형방정식② 가상변위의 법칙난이도는 下 문제이지만 2가지의 측면으로 문제를 바라보는 것이 의미 있어 포스팅을 올립니다.
oreostructure.com
https://oreostructure.tistory.com/32
2023년 7급 국가직 응용역학 풀이 (계산량은 최소화 하여 풀자)
총평2023 국가직 시험은 계산량이 많지 않았으며, 대부분의 문항을 가상변위의 법칙으로 간단히 정리할 수 있었다.대부분 수험생들이 평형방정식(∑F=0, ∑M=0) 기반의 전통적 풀이에 익숙하지만,
oreostructure.com
** 23년 7급 17번 문제
2. 부정정 구조물의 처짐 — 지점 변형이 ‘내력’을 만든다
반면, 부정정 구조물은 완전히 다릅니다.
부정정 구조에서 지점이 내려앉거나 움직이면
구조물은 이를 ‘허용할 자유도가 없기 때문에’
반드시 내부에 모멘트·전단력 등 부재력이 발생합니다.
대표적인 예가 2015년 7급 응용역학 10번과 같은 부정정보의 지점침하 문제입니다.
지점이 조금만 내려가도
- 모멘트가 생기고
- 그 모멘트 때문에 곡률이 생기고
- 보가 실제로 “휘어진 형태”를 띠게 됩니다.
이 차이가 정정과 부정정의 본질입니다.
3. 부정정보의 처짐곡선은 왜 3차 함수인가?
부정정 구조물에서 지점 변형이 발생하면
보 내부에 모멘트 M(x) 가 생기고,
이 모멘트는 일반적으로 위치에 따라 변하므로 1차 함수 형태가 됩니다.
보의 처짐곡선은 다음에서 출발합니다.

모멘트가 1차 함수이므로
이를 두 번 적분하면 처짐 y(x)는 3차 함수가 됩니다.
즉,
- 정정 → 모멘트 없음 → 곡률 없음 → 직선
- 부정정 → 모멘트 존재 → 곡률 존재 → 처짐곡선은 3차식
이것이 정정보와 부정정보의 처짐이 완전히 달라지는 핵심 이유입니다.
3. 문제 풀이 (매우 쉬움)

처짐각을 활용하여 쉽게 답을 유도했습니다.
4. 형상 함수로의 확장된 이론
이번 문제를 단순히 처짐각법으로만 풀고 끝내기보다는,
조금 더 확장된 관점에서 바라보려고 합니다.
보에서 특정 절점의 회전각을 1 rad(반시계방향) 만큼 가했다고 가정해 봅시다.
이 상황은 자연스럽게 뮐러–브레슬라우(Müller–Breslau) 법칙을 떠올리게 합니다.
“특정 반력을 알고 싶다면,
그 반력에 대응하는 자유도를 해제(release)하고
그 자유도에 단위 변위를 가한 변형 형상이
바로 그 반력의 영향선(Influence Line)이다.”
즉, 어떤 지점의 고정단모멘트(FEM)를 알고 싶다면
그 지점의 회전 자유도를 해제하고 단위 회전각(1 rad) 을 부여하면 됩니다.
여기서 중요한 점은 다음과 같습니다.
우리가 앞에서 처짐각법으로 구한 모멘트값들은 사실 ‘형상함수’로 확장될 수 있다는 점입니다.
보 AB에 대해 단위 회전을 가했을 때의 변형 형상,
즉 형상 함수(Shape Function) 을 정확히 알고 있다면
그 보에 어떤 하중이 작용하더라도 B 지점에서 발생하는 고정단모멘트(FEM) 를 하중과 형상함수의 곱 형태로
즉시 산정할 수 있습니다.
다르게 말하면,
- 처짐각법은 “모멘트–회전 관계식”을 알기 위한 것이라면,
- 형상함수는 “어떤 하중에도 즉시 FEM을 계산할 수 있는 도구”가 됩니다.
이 두 가지는 사실 같은 접근의 두 얼굴이며,
구조해석의 보다 깊은 세계에서는 둘이 자연스럽게 연결됩니다.
한쪽의 모멘트를 반시계방향으로 4EI/5로 산정했으므로 반대편은 그대로 ×1/2 로 하여 Carry Over 됩니다.
그리고 Moment 평형을 이뤄야 하기 때문에 전단력도 같이 발생합니다.

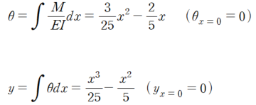
A지점을 원점으로 하여 그림에 표시된 좌표축 기준으로 임의의 점 x 에서의 모멘트 식을 세우면 다음과 같습니다.

x=0에서 처짐과 회전각이 모두 0이라는 경계조건 적용시 다음과 같습니다.

따라서 우리는 형상함수 (Ψ)를 다음과 같이 정의할 수 있습니다.

5. 형상함수를 활용한 고정단 모멘트 산정
B점의 고정단 모멘트를 형상함수를 이용한 Muller Breslau를 활용하여 구해보겠습니다.
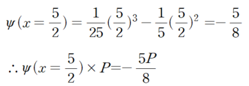
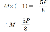
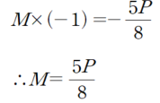
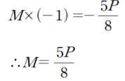
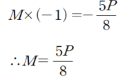
예시1) 정 중앙에 집중하중 P 작용 (B점의 고정단 모멘트)

우리는 FEM공식 암기로 인해 다음과 같은 사실을 알고 있습니다.

Muller Breslau 혹은 가상 변위의 법칙을 적용하면 다음과 같이 쓸 수 있습니다.
B에서 고정단 모멘트가 반시계방향으로 1 만큼 회전한 가상일은 P가 형상함수의 처짐으로 한 가상일과 동일하다.

이때 P가 한 일을 산정하면 다음과 같습니다.

따라서

이는 우리가 암기한 FEM 공식과 동일한 결과임을 알 수 있습니다.
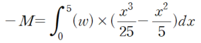
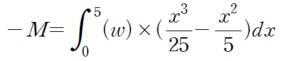
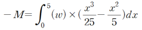
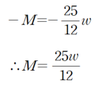
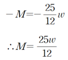
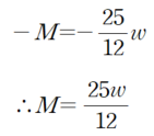
예시2) 등분포 하중 (B점의 고정단 모멘트)

동일한 원리로 가상변위의법칙 (=Muller Breslau)를 활용하면 다음과 같습니다.

따라서 다음과 같이 쓸 수 있습니다.

이 역시도 wL^2/12와 결과값이 일치 합니다.
6. 마무리하며
이번 글에서는 단순히 처짐각법으로 문제를 풀어내는 것에 그치지 않고,
더 나아가 형상함수(Shape Function) 의 의미와 활용까지 확장해보았습니다.
핵심은 다음 한 문장으로 정리됩니다.
어떤 반력에 대응하는 형상함수만 알고 있으면,
그 보에 어떤 하중군이 작용하더라도
해당 반력을 정확하게 산정할 수 있다.
이 원리는 바로 가상변위의 법칙을 기반으로 합니다.
특정 자유도(예: 회전, 처짐)에 단위 변위를 가해 얻는 변형형상이
그 자유도의 영향선을 만들어내며,
이를 이용해 이동하중·분포하중 등 어떠한 하중 조건에서도
해당 반력 또는 모멘트를 계산할 수 있게 됩니다.
이 개념을 구조해석에서 공식화한 것이 바로
뮐러–브레슬라우(Müller–Breslau)의 원리입니다.
이번 포스팅을 통해,
- 단순한 문제풀이 접근
- 정정·부정정 구조물에서 지점침하가 어떤 차이를 만드는가
- 형상함수(Shape Function)의 의미
- 가상변위의 법칙의 본질
- Müller–Breslau 원리가 왜 자연스럽게 등장하는가
까지 함께 이해하실 수 있었다면 큰 도움이 되었을 것이라 생각합니다.
앞으로도 각 문항 뒤에 숨어 있는 이론적 배경과 해석적 의미까지
조금씩 확장해서 설명드릴 예정이니
구조역학 공부에 많은 도움이 되시길 바랍니다.
'재미있는 문제- 쉬운풀이 > 부정정 보의 해석' 카테고리의 다른 글
| 2015년 7급 서울시 응용역학 5번 (부정보의 지점침하) (2) | 2025.11.16 |
|---|---|
| 가상 변위의 법칙으로 강성도 산정 및 등가하중으로 처짐 구하기 (2024년 서울시 7급 16번) (0) | 2025.11.03 |