
1.개요
역학에는 그럴듯한 공식과 복잡한 수식으로 표현된 개념들이 많지만,
본질을 이해하고 나면 직관적으로 판단하여 빠르게 풀 수 있는 문제들이 상당히 많습니다.
그 대표적인 예가 바로 강성도 개념과 모멘트 분배법, 그리고 축부재의 하중 분담 원리입니다.
모멘트 분배법의 핵심은 단순합니다.
절점에서는 회전각이 좌우에서 동일해야 한다는 변위 적합조건이 성립합니다.
이 조건 때문에 모멘트는 자동적으로 강성이 큰 부재 쪽으로 더 많이 분배됩니다.
이는 별도의 복잡한 수식이 아니라,
“같은 회전각을 만들기 위해서는 더 단단한 부재가 더 큰 모멘트를 부담해야 한다”는
아주 직관적인 원리에서 출발합니다.
이 사고방식은 보부재뿐만 아니라 축부재 문제에도 그대로 적용됩니다.
이제 문제를 살펴보겠습니다.
해당 구조물은 서로 다른 강성을 가진 두 개의 축부재로 이루어진 시스템으로 볼 수 있습니다.
구조물은 회전하지 않고 수평을 유지하고 있으며, 이때의 편심거리는 단순한 기하학적 거리가 아니라
변위를 동일하게 만들어주는 중심으로 해석할 수 있습니다.
변위가 동일하게 발생해야 한다는 것은 곧 변위 적합조건을 의미합니다.
이 조건을 만족시키기 위해서는 하중이 임의로 분배될 수 없고,
자연스럽게 강성이 큰 축부재 쪽으로 더 많은 하중이 이동하게 됩니다.
강성이 작은 부재에 동일한 하중이 작용하면 더 큰 변형이 발생하므로
변위 적합조건을 만족시킬 수 없기 때문입니다.
결국 이 문제의 본질은
- 축부재의 강성 차이를 인식하고
- 변위가 같아야 한다는 조건을 적용하며
- 하중은 강성이 큰 쪽으로 분배된다는 사실을 이용하는 것에 있습니다.
이와 같은 관점으로 문제를 바라보면
불필요한 평형방정식이나 복잡한 연산 없이도
구조물의 거동을 빠르고 정확하게 파악할 수 있으며,
시험장에서 매우 효율적인 풀이로 이어질 수 있습니다.
2. 문제풀이
(1) 효율적인 실전 방법 #1 : 축부재 치환 방법
위의 문제는 다음과 같이 두개의 스프링 구조물로 치환할 수 있습니다.
단면적과 길이가 동일하기 때문에 두개의 스프링의 강성도 비율은 탄성계수의 비율과 동일합니다.

회전각이 생기지 않는다라는 의미는 강성이 높은쪽으로 하중이 이동하여 강성이 높은 스프링에 더 많은 하중이 걸린다는 의미로 이해할 수 있습니다. 알루미늄과 강재의 강성이 1:4이므로 이들 스프링에 걸리는 내력 역시 1:4가 되도록 하중이 이동해야합니다.
이해를 돕기 위해 이제 해당 강판을 확대하여 보여드리겠습니다.

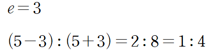
이제 집중하중이 작용하는 단순보의 반력을 산정하는 방식과 동일하게 거리와 반비례하여 하중이 걸리는 원리를 활용하면 됩니다.
따라서 다음과 같은 비례식 한줄이면 문제가 바로 풀립니다.

이를 만족하는 e값은 3입니다.

따라서 답은 ③으로 쉽게 풀 수 있습니다.
(2) 효율적인 실전 방법 #2 : 단면 도심산정
단면의 도심에 축하중이 작용하면 편심에 의한 곡률은 발생하지 않습니다.
즉, 부재에는 순수한 축력만 작용하게 됩니다.
이는 트러스 해석에서 사용하는 가장 기본적인 가정사항 중 하나이기도 합니다.
트러스 부재는 절점에서 핀으로 연결되어 있고, 하중은 절점을 통해 전달되므로
부재의 도심을 따라 축력만 작용한다고 가정합니다.
따라서 휨모멘트와 곡률은 발생하지 않으며, 변형은 오직 축방향 변형으로만 나타납니다.
따라서 위의 문제는 아래와 같이 도심 찾는 문제로 치환할 수 있습니다.


따라서 동일하게 답이 ③으로 쉽게 산정되는 것을 확인할 수 있습니다.
3. 마무리하며
위의 문제를 휨부재로 해석하여 모멘트 평형을 세우고, 곡률을 산정한 뒤 0이 되는 조건을 찾는 정석적인 방법으로 풀게 되면, 굳이 가지 않아도 될 다소 험한 길을 가게 됩니다.
하지만 이 문제는 시야를 조금만 넓히면
- 축부재 문제로 치환할 수도 있고
- 단면의 도심 문제로 치환하여 훨씬 간단하게 풀 수도 있습니다.
그리고 중요한 점은, 어떤 방법을 택하든 최종 결과는 동일하게 나온다는 것입니다.
7급 시험은 객관식 시험입니다.
따라서 더 빠르고, 더 단순하며, 실수가 적은 방법이 있다면
그 방향으로 가는 것이 곧 가장 올바른 전략입니다.
힘든 과정을 거쳐 정석적으로 풀었다고 해서
누가 그 과정을 알아주지 않습니다.
OMR 카드에는 정답과 오답, 두 가지 결과만 존재합니다.
정석으로 풀었다고 가산점이 주어지지도 않습니다.
물론 모든 문제를 센스 있게 푸는 경지에 이르려면
결국 더 많은 공부가 필요합니다.
하지만 제가 여러분께 요청드리는 것은
“무조건 더 많이 공부하라”는 이야기가 아닙니다.
평소에는 평소처럼 역학 공부를 하시되,
제가 소개하는 풀이들을 조금씩 익혀보시기 바랍니다.
그렇게 쌓인 시야와 전략이
실전에서 2~3문제를 더 빠르게, 더 정확하게 맞히게 해주고,
그 차이가 결국 안정적인 합격권을 만들어줍니다.
끝으로 휨부재에 대한 빠르고 좋은 문제 통찰력을 얻고 싶으시다면 제가 간간히 드리는 무료강의도 활용해보시기 바랍니다.
[무료강의] 처짐각법 강의, 휨부재의 변위법 접근
안녕하세요. 오레오구조입니다.이전에 축부재를 주제로 한 변위법 특강을 진행한 바 있으며, 당시 참여해 주신 분들로부터 강의 내용과 구성에 대해 만족도가 높았다는 피드백을 받았습니다.
oreostructure.com
'재미있는 문제- 쉬운풀이 > 축 부재 (axial member)' 카테고리의 다른 글
| 2009년 국가직 7급 15번 문제 (자중+축부재 유형) (0) | 2025.12.11 |
|---|---|
| 2015년 서울시 7급 12번 (축부재의 에너지 산정+심화 개념) (0) | 2025.12.01 |
| 2015년 7급 서울시 응용역학 3번 (온도 상승 + 축부재) (0) | 2025.11.19 |
| 2023년 국가직 7급 9번과 2025년 서울시 7급 14번 비교 (Truss) (0) | 2025.11.08 |
| 2017년 7급 국가직 응용역학 12번 - 온도 변화 트러스를 대하는 자세 (0) | 2025.10.25 |