
1. 개요
난이도는 높지 않은 문제이지만, 이번 포스팅에서는 축부재에서 발생하는 에너지 개념을 먼저 정리한 뒤 문제풀이로 이어가고자 합니다.
기출을 반복적으로 풀면서 풀이 속도와 정답률을 높이는 것은 매우 중요합니다.
하지만 반복이 쌓일수록, 어느 순간부터는 외운 답을 향해 그대로 손이 가는 현상이 생기기 마련입니다.
스키장에서 같은 코스를 반복해서 타다 보면 눈이 단단해져 자연스럽게 그 길로만 빠르게 내려오는 것처럼,
기출을 여러 번 풀다 보면 뇌가 익숙한 풀이·익숙한 답으로만 흐르기 때문입니다.
이러한 현상은 단기적으로는 도움이 되지만,
장기적으로는 새로운 유형이나 구조가 조금만 변형되어 등장했을 때 당황하게 되는 원인이 됩니다.
그래서 저는 문제를 풀 때
① 실전에서 사용할 주전략(=가장 빠르고 정확한 풀이법) +
② 문제 속 개념을 심화하여 구조역학의 큰 틀까지 이어주는 보조무기
이 두 가지를 함께 가져가는 방식을 권해드립니다.
이번 글에서는 단순 계산으로 끝내지 않고, 다음과 같은 심화 개념까지 확장해보겠습니다.
- 축부재에 하중이 작용할 때 저장되는 변형에너지(U)
- 그 에너지로부터 변위를 도출하는 Castigliano의 제2법칙
- 법칙을 다시 유연도(Flexibility) 개념으로 연결
- 마지막으로 유연도와 짝을 이룬 강성도(Stiffness) 의 개념까지 자연스럽게 이어지는 흐름
즉, 단순히 문제 하나를 푸는 것이 아니라
“왜 이 값이 이렇게 나오는가?”
“이 과정이 다른 문제에서는 어떤 방식으로 확장되는가?”
를 스스로 설명할 수 있을 만큼 기초 체력을 키워보는 시간이 될 것입니다.
기출은 반복 속도도 중요하지만,
매 문제마다 구조역학의 뼈대를 더 단단하게 쌓아가는 과정이 병행될 때
비로소 확실한 고득점이 가능하다는 점을 꼭 기억해주시기 바랍니다.
2. 축부재의 변형에너지 개념
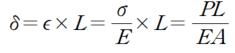
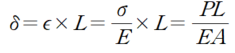
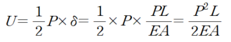
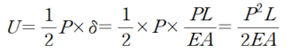
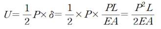
선형탄성이며 하중과 변위가 원인과 결과인 경우 변형에너지는 다음과 같이 산정 할 수 있습니다.

이때 변형량 (δ)은 다음과 같이 서술할 수 있습니다.

따라서 하중 P를 받는 축부재의 변형에너지는 다음과 같이 쓸 수 있습니다.

3. 문제풀이
(1) 부재력 산정
삼각형을 이용하여 부재력을 산정하면 (힘의 평형)
아래 그림과 같습니다.

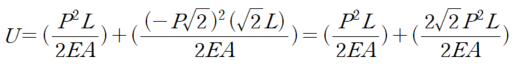
(2) 변형에너지 산정

따라서 이를 만족하는 보기는 ② 입니다.

4. 개념 확장
(1) Castigliano 2법칙
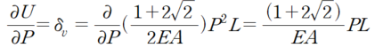
변형에너지를 하중에 대해 표현하면 다음과 같은 관계식이 성립됩니다.

따라서 위에서 산정한 변형에너지를 P에 대해 미분하면 P 방향에 대한 처짐이 산정됩니다.

이를 가상하중의 법칙에 대입하여 결과가 동일하게 나오는지 확인하면 다음과 같습니다.


결과는 동일하게 산정되는 것을 확인 할 수 있습니다.
따라서 변형에너지를 알게 되면 미분을 통해 처짐을 산정할 수 있음을 알 수 있습니다.
이는 많은 문제에서 활용 할 수 있는 매우 막강한 도구 입니다.
https://oreostructure.tistory.com/73
2023년 군무원 응용역학 7급 문제 풀이
2023년 7급 군무원 응용역학 기출 총평2023년 군무원 7급 응용역학 시험은 전반적으로 난이도는 쉬운 편에 속했지만,그 안에서 핵심 개념을 정확히 알고 있는지를 묻는 문항들이 적절히 섞여 있었
oreostructure.com
2023년 7급 군무원 응용역학 17번 문제에도 활용하였으니 참고 바랍니다.
(2) 유연도 산정
만약 변형에너지를 하중에 대해 두번 미분하면 어떻게 될까요?
그렇게 되면 처짐량을 하중에 대해 미분하는 것이 됩니다.
그렇게 산정된 값은 단위 하중에 대한 처짐값을 나타내므로 정의 그대로 유연도가 되게 됩니다.

위 문제에서 유연도를 산정해보겠습니다.

이제 P 대신 꼭지점에 작용하는 어떤 수직하중에 대해서도 유연도 값을 곱하여 처짐을 산정할 수 있습니다.
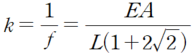
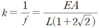
(3) 강성도 산정
유연도와 강성도는 다음과 같은 관계를 갖고 있습니다.

따라서 강성도의 정의도 단위 처짐당 하중이 되게 됩니다.
위 문제에서 강성도를 산정하면 다음과 같습니다.

5. 마무리하며
그동안 제 풀이를 꾸준히 지켜보신 분들은 눈치채셨겠지만, 저는 빠르고 정확한 문제 풀이를 위해 축부재·보부재·합성부재를 막론하고 유연도와 강성도 개념을 매우 자주 활용합니다.
특히 구조를 직렬·병렬로 단순화시키는 과정에서 강성도를 알고 있으면, 복잡해 보이는 문제도 한 번에 정리되는 강력한 도구가 됩니다.
이번 문항은 “변형에너지”만 묻지만, 확실한 개념 정리를 위해 다음과 같은 넓은 개념의 연결고리를 모두 학습해야 합니다.
- 하중이 부재에 저장하는 변형에너지 U
- 그 에너지로부터 변위를 도출하는 Castigliano 제2법칙
- 변위와 하중의 비로 정의되는 유연도(Compliance)
- 유연도의 역수로 정의되는 강성도(Stiffness)
- 강성도의 직렬·병렬 조합을 통한 구조 단순화 전략
따라서 변형에너지 개념을 이해하는 순간, 단순히 변형량만이 아니라
유연도 → 강성도 → 등가 스프링 → 구조 단순화
이 전체 흐름이 모두 하나로 연결됩니다.
공식만 외우는 공부는 작은 변화에도 쉽게 흔들리지만,
강성도·유연도·에너지 개념을 제대로 이해해두면
어떤 구조가 나와도 핵심을 곧바로 뽑아내는 사고틀을 갖게 됩니다.
앞으로도 이러한 폭넓은 개념을 기반으로
더 빠르고, 더 정확하고, 더 직관적인 풀이법에 익숙해지시길 바랍니다.
기초가 단단할수록, 실전에서의 속도와 정확도는 자연스럽게 따라오게 됩니다.
'재미있는 문제- 쉬운풀이 > 축 부재 (axial member)' 카테고리의 다른 글
| 2009년 국가직 7급 15번 문제 (자중+축부재 유형) (0) | 2025.12.11 |
|---|---|
| 2015년 7급 서울시 응용역학 3번 (온도 상승 + 축부재) (0) | 2025.11.19 |
| 2023년 국가직 7급 9번과 2025년 서울시 7급 14번 비교 (Truss) (0) | 2025.11.08 |
| 2017년 7급 국가직 응용역학 12번 - 온도 변화 트러스를 대하는 자세 (0) | 2025.10.25 |
| 2024년 7급 군무원 응용역학 5번 (적분법/ 등가면적법/ 직관적 사고법) (0) | 2025.10.05 |