
1.개요
양단 고정보에서 양단 모멘트가 아닌 보 중앙의 휨모멘트를 묻는 기출문제를 다뤄보겠습니다.
이 문제는 다양한 풀이 방법이 존재합니다.
풀이를 보기 전에, 반드시 스스로 한 번 풀어본 뒤 저의 풀이와 비교해보시기 바랍니다.
모든 문제에는 그 문제에 가장 적합한 풀이 방식이 존재합니다.
물론 그 “최적의 방식”은 사람마다 조금씩 다를 수 있습니다.
가끔 수험생들 중에
“기출을 n번 회독했지만 시험에서 떨어졌다”라는 글을 보게 됩니다.
안타까운 일이지만, 저는 그 이유가 단순히 반복이 부족해서가 아니라
반복하는 동안 ‘더 쉬운 방법’에 대한 고민이 없었기 때문이라고 생각합니다.
문제를 여러 번 풀다 보면
어느 순간 문제를 푸는 것이 아니라
보기의 정답을 기억하게 됩니다.
이 단계에 도달하면 그 문제는 더 이상 ‘실력’이 아니라 ‘암기’가 됩니다.
그리고 시험장에서 문제가 조금만 변형되어 나오면 대응이 되지 않습니다.
그래서 n번째 회독부터는 방향이 달라져야 합니다.
- 이 구조물에서 출제자가 물어볼 수 있는 것은 무엇인가?
- 다른 지점의 내력을 묻는다면 어떻게 접근할 것인가?
- 하중이 조금만 바뀐다면 풀이 전략은 어떻게 바뀌어야 하는가?
- 내가 사용한 풀이보다 더 짧은 길은 없는가?
이러한 고민이 쌓여야
단순 반복이 아닌 차원과 깊이가 확장된 학습이 됩니다.
시험장에서 어렵게 출제되었을 때
당황하지 않고 빠르게 구조를 재해석하여
가장 효율적인 길로 접근할 수 있는 사람이 결국 합격합니다.
이제 문제를 살펴보겠습니다.
2.문제풀이
양단고정보에 등분포 하중이 작용시
등분포 하중이 작용하는 단순보와 고정단모멘트만 작용하는 단순보 두개로 나누어 볼 수 있습니다.
이를 그림으로 표현하면 다음과 같습니다.

고정단 모멘트 관련 내용은 아래의 링크를 참고하시기 바랍니다.
등분포 하중 작용시 고정단 모멘트는 암기사항에 해당합니다.
https://oreostructure.tistory.com/130
FEM 공식 유도 및 응용 (Ⅰ)
안녕하세요. 오레오 구조입니다.이번 포스팅에서는 필수적으로 알아두어야 할 FEM(Fixed End Moment) 공식 몇 가지를 직접 유도해 보고,이를 실제 문제풀이에 어떻게 활용할 수 있는지까지 함께 다뤄
oreostructure.tistory.com
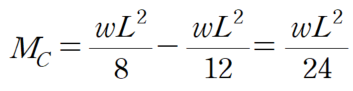
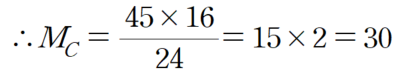
따라서 정중앙에 작용하는 모멘트를 M_C라고 표기한다면 다음과 같은 한줄로 문제를 풀 수 있습니다.

따라서

답은 ③으로 쉽게 산정 됩니다.
** 별해
위의 구조물은 3차 부정정이나 축력이 부재 하여 2차 부정정으로 취급 가능합니다.
하중과 구조물이 대칭이어서 가운데 지점을 Fixed Roller로 모델링이 가능하며 수직력은 고정단이 모두 다 받게 됩니다.
고정단 모멘트와 수직력을 모두 알 게 되었기 때문에 위의 문제는 정정 구조물을 푸는 것처럼 단순 평형방정식으로도 풀립니다.

따라서 M_C가 작용하는 Fixed Roller 기준 모멘트 평형식을 잡으면

동일한 답이 산정됩니다.
3.문제풀이를 넘어서 (중앙지점의 처짐산정)
만약 휨강성을 EI로 하고 중앙지점의 처짐을 산정하는 문제로 나오면 어떻게 처리할까요?
우선 등분포 하중을 등가하중으로 처리한다면 다음과 같이 표시할 수 있습니다.

양쪽의 등분포 하중에 따른 고정단모멘트는 크기가 같고 방향만 반대이므로 추가 전단력을 발생시키지 않습니다.
따라서 Fixed Roller에 작용하는 하중은 45×2/2 인 45만큼 작용하게 됩니다.
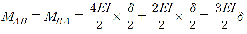
이제 강성도를 산정해 봅시다. 양끝단의 지점을 각각 A,B라고 하고, Fixed Roller의 처짐을 δ라 하면 다음과 같이 쓸 수 있습니다.

이제 가상 변위의 법칙을 적용해 보겠습니다.

4.마무리하며
문제를 풀어내는 또 다른 관점과,
문제에서 묻지 않았지만 만약 처짐을 묻는다면 어떻게 접근할 것인가까지 함께 정리해보았습니다.
제가 말하는 “기출을 n번 반복하여 깊이 있게 이해한다”의 기준은 바로 이것입니다.
단순히 답을 맞추는 것이 아니라,
- 풀 때마다 한 단계씩 더 깊어지고
- 더 효율적인 접근이 있는지 고민하고
- 출제자가 이 구조물에서 추가로 무엇을 물어볼 수 있을지 생각해보는 것
이 과정이 반드시 동반되어야 합니다.
실제로 양단 고정보 중앙부 처짐은
시간이 흘러 2025년 서울시 7급 16번 문제로 출제되었습니다.
https://oreostructure.tistory.com/51
2025년 7급 서울시 응용역학 풀이 (유연도와 강성도에 익숙해지자)
“바로 풀린다” 리스트 (문제당 30초 내외)1, 2, 3, 6 (부재의 부피 산정 매우 간단), 7(보기 활용), 9 (출제자의 배려), 10 (보기 활용)11 (변위일치 공식을 알려줌), 13(전형적인 유형), 14 (가상일의 원
oreostructure.com
이처럼 한 문제를 입체적으로 이해하는 훈련은
단순히 7급 합격에 가까워지는 것에 그치지 않습니다.
추후 5급 공채나 구조기술사 시험에 도전하고 싶다면
이러한 사고 훈련은 매우 큰 자산이 됩니다.
왜냐하면 단단해진 개념 위에
공학용 계산기 스킬만 얹으면 되기 때문입니다.
오늘 오후 8시에는 휨부재에 대한 가상변위의 법칙을 무료 특강으로 진행할 예정입니다.
https://oreostructure.tistory.com/140
[무료강의] 처짐각법 강의, 휨부재의 변위법 접근
안녕하세요. 오레오구조입니다.이전에 축부재를 주제로 한 변위법 특강을 진행한 바 있으며, 당시 참여해 주신 분들로부터 강의 내용과 구성에 대해 만족도가 높았다는 피드백을 받았습니다.
oreostructure.com
관심 있으신 분들은 위의링크에 오늘 오후 7시까지 댓글로 신청해주시기 바랍니다.
입체적으로 구조를 바라보고 싶은 분들께 도움이 되는 시간이 될 것입니다.
'재미있는 문제- 쉬운풀이 > 부정정 보의 해석' 카테고리의 다른 글
| 2025년 5급 공채 2차 구조역학 3번 (손계산으로 풀어보는 기술고시 문제) (1) | 2026.03.12 |
|---|---|
| 2018년 2차 서울시 7급 11번 (필요한 자유도만 취해서 빠르게 풀이) (0) | 2026.02.05 |
| 2026년 7급 근로감독 산업안전 응용역학 23번 (변위법적인 쉬운 접근) (0) | 2026.01.26 |
| 2019년 7급 국가직 응용역학 10번 (부정정 보 처짐의 쉬운 풀이) (0) | 2026.01.20 |
| 2009년 7급 국가직 응용역학 5번 문제 (변위 기반의 생각) (0) | 2025.12.06 |