
1. 개요
손계산으로 풀어보는 기술고시 문제
이번 포스팅의 소주제 제목은 “손계산으로 풀어보는 기술고시 문제”입니다.
조금 발칙하게 들릴 수도 있는 제목입니다.
“기술고시 문제를 계산기 없이 풀 수 있을까?”
아마 많은 분들이 이렇게 생각하실 수도 있습니다.
특히 7급, 9급을 준비하시는 분들이라면
“5급 시험은 전혀 다른 세계 아닌가?”
라는 막연한 거리감이나 공포감을 느끼실 수도 있습니다.
하지만 이번 포스팅의 목적은
5급 시험에 도전하라는 이야기를 하려는 것이 아닙니다.
제가 이 글을 쓰는 이유는 단 하나입니다.
7급, 9급이든 5급이든 출제자가 보고 싶어하는 포인트는 크게 다르지 않기 때문입니다.
시험의 형태는 다르지만
출제자의 시선에서 보면 확인하고 싶은 개념은 매우 유사합니다.
그래서 이번 글에서는
기술고시 문제를 통해 출제자의 시선과 사고방식을 한 번 살펴보려고 합니다.
왜 기술고시 문제를 보는가
실제로 구조기술사를 준비하시는 분들도 5급 공채 문제를 자주 참고합니다.
이유는 간단합니다.
5급 공채 문제는
- 출제 의도가 명확하고
- 충분히 검증된 문제이며
- 추가 비용 없이 풀어볼 수 있기 때문입니다.
즉,
출제자의 사고방식을 직접 들여다볼 수 있는 문제라고 볼 수 있습니다.
다만 단점도 있습니다.
객관식 시험과 달리 인사혁신처에서는 모범답안을 제공하지 않습니다.
따라서 답을 확인하려면
- 스터디에서 풀이를 비교하거나
- 다른 방법으로 다시 풀어 교차 검증하는 방식
밖에는 없습니다.
대부분의 사람들이 푸는 방식
그렇다면 실제로 고시나 기술사 시험에서 많은 사람들이 이런 문제를 어떻게 풀까요?
대부분 에너지법을 사용합니다.
일반적인 접근 방식은 다음과 같습니다.
- 평형방정식을 세운다
- 각 부재 구간별 모멘트를 계산한다
- 모멘트 제곱 항을 포함한 변형에너지를 만든다
- 이를 모두 더해 최종 결과를 얻는다
- 미분하여 계산기 solve 기능을 활용하여 반력과 처짐을 구한다.
글로만 보면 꽤 복잡한 과정입니다. “이걸 어떻게 계산하지?” 라고 생각하실 수도 있습니다.
실제로는 많은 경우 고가의 공학용 계산기가 이 과정을 처리합니다.
보통 20만 원 정도 하는 공학용 계산기를 사용합니다.
계산기 사용에 익숙하고 손이 빠른 사람이라면
이 방법으로도 충분히 정답을 맞출 수 있습니다.
하지만 이 방식이 의미가 있을까
여기서 한 가지 질문을 던져볼 필요가 있습니다.
이 방식이 과연 역학을 이해하는 데 의미가 있을까요?
출제자가 문제를 낼 때 전지전능한 계산기의 기능을 믿고 출제하는지는 알 수 없습니다.
하지만 분명한 것은 이 방식은 7급, 9급 수험생에게 큰 인사이트를 주는 풀이 방식은 아니라는 점입니다.
보고 배울 것이 많은 풀이도 아닙니다.
에너지법에 중독된 풀이
에너지법 자체는 매우 훌륭한 방법입니다.
문제는 에너지법에 지나치게 의존하는 경우입니다. 많은 경우 역학적인 구조를 이해하려 하기보다는
- 미분을 하고
- 계산기의 solve 기능을 사용해
- 나온 결과값을 그대로 받아들이는 방식
으로 문제를 해결합니다.
하지만 이런 방식은
역학적 감각을 키우는 데 거의 도움이 되지 않습니다.
엔지니어로서도 크게 의미 있는 접근이라고 보기는 어렵습니다.
더 놀라운 현실
더 놀라운 점은 이러한 계산기 스킬 중심의 풀이를 강의로 가르치는 경우도 있다는 것입니다.
물론 계산기 사용법 자체가 나쁜 것은 아닙니다.
하지만 계산기 스킬은
- 유튜브 튜토리얼
- ChatGPT 같은 AI 도구
- 구조기술사 스터디
에서도 충분히 배울 수 있습니다.
굳이 비싼 강의료를 지불해야만 배울 수 있는 내용은 아닙니다.
7급·9급 수험생에게 필요한 관점
물론 시험에서 에너지법을 자신 있게 사용하고
그 방법으로 합격하겠다는 분들을 말릴 생각은 없습니다.
다만 7급, 9급 수험생이라면 다른 관점이 필요합니다.
중요한 것은
- 구조물의 거동을 이해하는 것
- 출제자의 의도를 파악하는 것
- 계산을 최소화하는 사고방식을 갖는 것
입니다.
그리고 이러한 사고 방식은
7급·9급 시험에서는 조금더 쉬운 형태로 변형되어 그대로 출제됩니다.
이 사실을 인지하고 공부하면
문제를 보는 시야 자체가 달라집니다.
이제 문제를 풀어보겠습니다
이제 실제 기술고시 문제를 손계산으로 풀어보겠습니다.
계산기를 사용하는 방식이 아니라 출제자가 무엇을 보고 싶어 했는지를 중심으로 접근해보겠습니다.
가장 효율적이고 쉬운 방식으로의 접근이 출제자가 의도했을 가능성이 큽니다.
2. 문제풀이
(1) 자유물체도
자유물체도는 아래의 그림처럼 산정할 수 있습니다.

C점의 반력을 산정하기 위해 CD 부분을 분리하여 ABC 구조물을 떼어내어 분석해보도록 하겠습니다.
(2) 중첩의 원리 활용
구조물의 휨변형만을 고려하기 때문에, 축력, 전단력에 의한 변형은 고려하지 않겠습니다.
그리고 구조물은 선형 탄성을 가정하기 때문에 중첩의 원리가 성립합니다.

따라서 구조물 ABC를 분석하기 위해 Case ①, Case ②를 분석하여 결과값을 합산하도록 하겠습니다.
Case ① 해석
매우간단하게 분석이 됩니다. C점의 PL 모멘트가 절반 Carry Over 됩니다. 그리고 모멘트 평형을 위해 두 모멘트의 합산 값을 부재 길이로 나눈 전단력이 발생합니다.

Case ② 해석
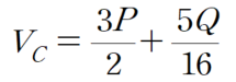
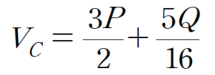
역시 간단하게 해석이 됩니다. A와 C 양단이 고정단이라고 한다면 QL/8 만큼 양쪽에 걸리지만 (크기는 같고 부호는 반대) C점의 모멘트가 0이므로 이를 0으로 만들어주는 모멘트를 합산하여 이를 반대편으로 Carry Over 시키면 A점의 휨반력은 3QL/16 이 됩니다. 모멘트를 고려하지 않은 Q에 의한 반력 효과는 Q/2 이므로 이를 합산하여 더하면 C점의 반력은 5Q/16이 됩니다. A점은 수직력 합은 0이다라는 조건으로 쉽게 11Q/16으로 산정할 수 있습니다.

(3) C점의 반력 산정 [ 3 - 1 번 문제의 해답 ]
합산하여 C에서의 반력를 산정하면 다음과 같습니다.
지점의 롤러이기 때문에 수직 반력만 존재하며 중첩의 원리로 다음과 같습니다.

(4) P와 Q의 크기가 같을 때 B점에서의 수직 처짐
Q=P로 하여 합산하여 구조물 ABC를 간단하게 나타내면 다음과 같습니다.

B에서의 모멘트를 산정해보면 다음과 같습니다.

이를 통해 BMD를 그려보면 다음과 같습니다.

5/16과 3/32가 10:3의 비율을 갖으므로 AB사이에 모멘트가 0이 되는 지점은
A점으로 부터 L/2 × 10/13 = 5L/13 만큼 떨어진 곳이고
B점으로 부터 L/2 × 3/13 = 3L/26 만큼 떨어진 곳 입니다.
B에서의 처짐을 공액보법을 활용하여 산정해보면 다음과 같습니다. (아래의 처짐을 양의 값으로 산정)

따라서 B점은 수직 아래의 방향으로 17PL^3/(768EI) 만큼 처짐이 발생합니다.
3. 마무리하며
마지막 처짐 계산 과정에서는 손계산으로 최소공배수를 맞춰 통분하고 약분하는 과정이 조금 번거롭게 느껴질 수 있습니다. 하지만 문제를 푸는 기본 원리는 서울시나 국가직 7급 시험에서 소위 ‘킬러 문항’으로 분류되는 부정정 해석과 처짐 문제의 접근 방식과 크게 다르지 않습니다.
한쪽 끝에 모멘트가 작용하면 반대쪽으로 절반이 전달되는 Carry Over의 원리와 중첩의 원리를 이용하면 부정정 해석을 비교적 빠르게 진행할 수 있습니다. 이를 통해 보의 휨모멘트 다이어그램을 자연스럽게 파악할 수 있고, 이어서 공액보법의 원리를 활용하여 처짐을 계산할 수 있습니다.
만약 숫자를 조금 더 깔끔하게 정리하여 출제한다면, 충분히 서울시 7급 시험의 고난이도 문제로 출제되어도 손색이 없는 유형이라고 생각합니다.
Carry Over와 중첩의 원리를 이용하는 접근 방식은 과거 7급 시험에서 난이도가 높은 문제들에서 자주 등장했던 풀이 전략이기도 합니다. 겉보기에는 복잡해 보일 수 있지만, 해당 원리를 이해하고 있는 수험생이라면 비교적 빠르게 해결할 수 있는 문제이기 때문에 실력 차이를 만들어낼 수 있는 좋은 유형이기도 합니다. 출제자 입장에서도 충분히 매력적인 문제라고 볼 수 있습니다.
또한 부정정력을 빠르게 해석할 수 있게 되면 처짐 계산 역시 자연스럽게 단순해집니다.
이번 포스팅에서는 이러한 관점에서 5급 공채 구조역학 문제를 손계산으로 풀어보았습니다.
개인적으로는 매우 아름다운 문제라고 생각합니다.
이 글을 보시는 분들께서도 해당 문항을 직접 손으로 풀어보시길 권해드립니다.
풀이 과정을 따라가다 보면 단순히 정답을 구하는 것을 넘어 구조물이 어떻게 거동하는지에 대한 감각을 조금씩 느끼게 됩니다.
그리고 이러한 경험이 쌓이면 결국
공식을 외워서 푸는 공부가 아니라, 원리를 이해하고 푸는 공부로 자연스럽게 바뀌게 됩니다.
시험 문제는 결국 숫자만 바뀌어 반복되는 경우가 많습니다.
하지만 문제를 바라보는 관점이 바뀌면 난이도 자체가 달라 보이게 됩니다.
이 블로그에서는 앞으로도
- 7급·9급 응용역학 기출문제 풀이
- 시험장에서 실제로 쓸 수 있는 풀이 전략
- 계산을 줄이는 구조역학 접근 방법
들을 계속 공유하려고 합니다.
관심 있으신 분들은 블로그 구독을 해두시면 새로운 글이 올라올 때 바로 확인하실 수 있습니다.
또한 풀이 과정에서 궁금한 점이 있으시다면
댓글이나 메일로 언제든지 질문 주셔도 좋습니다.
수험생 분들께 조금이라도 도움이 되는 방향으로 앞으로도 계속해서 자료를 정리해보겠습니다.
응용역학을 ‘계산 과목’이 아니라 ‘원리 과목’으로 쉽고 효율적으로 공부하고 싶은 분들이라면
제 블로그 글들이 도움이 될 것이라 생각합니다.
'재미있는 문제- 쉬운풀이 > 부정정 보의 해석' 카테고리의 다른 글
| 2014년 서울시 7급 15번 (기출 회독 학습의 의미) (0) | 2026.02.11 |
|---|---|
| 2018년 2차 서울시 7급 11번 (필요한 자유도만 취해서 빠르게 풀이) (0) | 2026.02.05 |
| 2026년 7급 근로감독 산업안전 응용역학 23번 (변위법적인 쉬운 접근) (0) | 2026.01.26 |
| 2019년 7급 국가직 응용역학 10번 (부정정 보 처짐의 쉬운 풀이) (0) | 2026.01.20 |
| 2009년 7급 국가직 응용역학 5번 문제 (변위 기반의 생각) (0) | 2025.12.06 |